Đăng nhập để hỏi chi tiết


Hãy luôn nhớ cảm ơn và vote 5*
nếu câu trả lời hữu ích nhé!
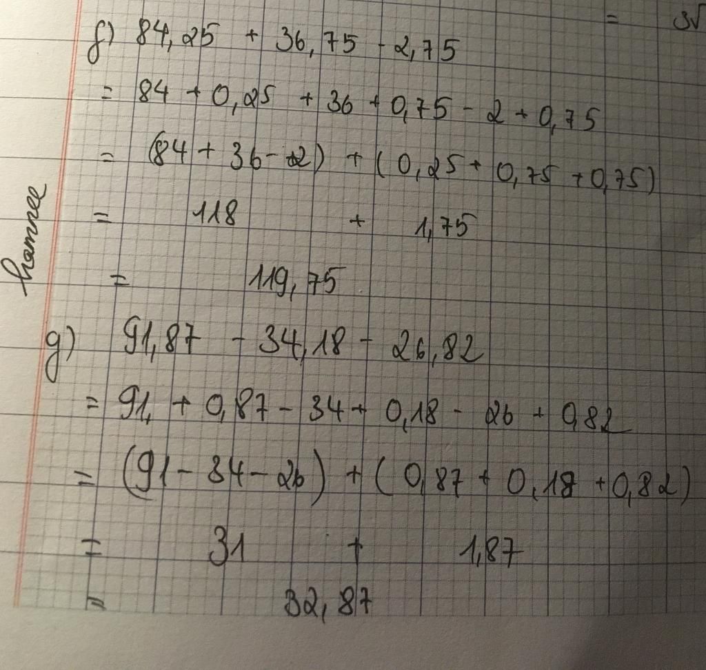
f, 84,25 + 36,75 - 2,75
= 84,25 + (36,75 - 2,75)
= 84,25 + 34
= 118,25
g, 91,87 - 34,18 - 26,28
= 57,69 - 26,28
= 31,41
h, 1,25 x 0,34 + 2,75 x 0,34
= (1,25 + 2,75) x 0,34
= 4 x 0,34
= 1,36
i, 5,79 x 0,24 - 0,24 x 0,79
= 2,04 x (5,79 - 0,79)
= 2,04 x 5
= 10,2
Chúc bạn hok tốt
#Helen11
Hãy giúp mọi người biết câu trả lời này thế nào?
Bảng tin