Đăng nhập để hỏi chi tiết


Hãy luôn nhớ cảm ơn và vote 5*
nếu câu trả lời hữu ích nhé!
Đáp án:
`c)x=4`
`d)x=2`
Giải thích các bước giải:
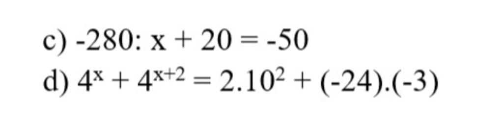
`c)`
`-280:x+20=-50`
`=>-280:x=-50-20`
`=>-280:x=-70`
`=>x=-280:(-70)`
`=>x=4`
Vậy `x=4`
`d)`
`4^x+4^(x+2)=2.10^2+(-24).(-3)`
`=>4^x(1+4^2)=2.100+24.3`
`=>4^x . 17=200+72`
`=>4^x . 17=272`
`=>4^x=272:17`
`=>4^x=16`
`=>4^x=4^2`
`=>x=2`
Vậy `x=2`
Hãy giúp mọi người biết câu trả lời này thế nào?

Bảng tin