

Hãy luôn nhớ cảm ơn và vote 5*
nếu câu trả lời hữu ích nhé!

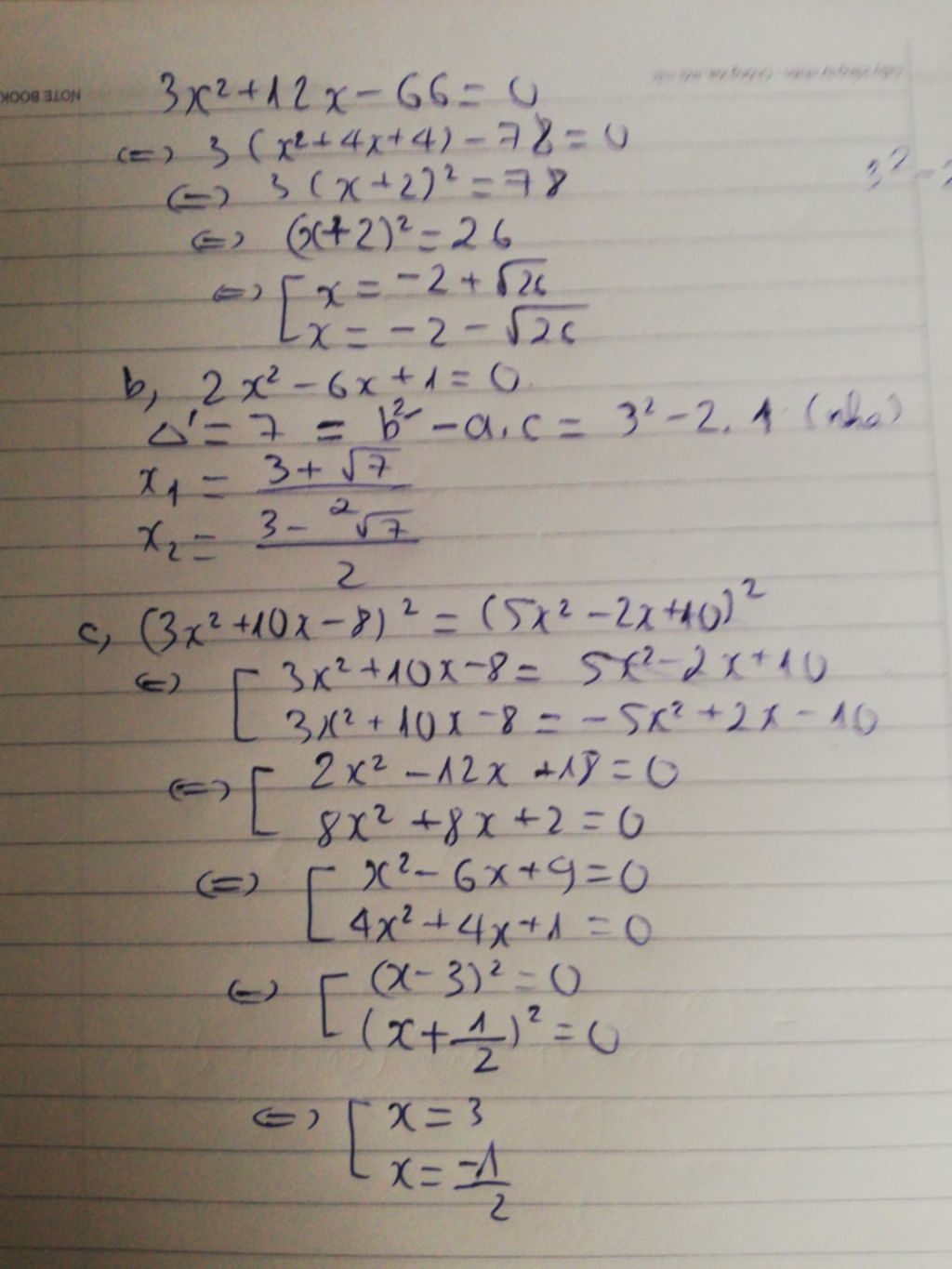
Đáp án:a)\(\left[ \begin{array}{l}x_{1}=\frac{-6+3\sqrt{26}}{3}=-2+\sqrt{26}\\x_{2}=\frac{-6-3\sqrt{26}}{3}=-2-\sqrt{26}\end{array} \right.\)
b)\(\left[ \begin{array}{l}x_{1}=\frac{3+\sqrt{7}}{2}\\x_{2}=\frac{3-\sqrt{7}}{2}\end{array} \right.\)
c)x=3
Giải thích các bước giải:
a) $3x^{2}+12x-66=0$
⇒$Δ^{'}=6^{2}-3·(-66)=234>0$⇒Pt có 2 nghiệm phân biệt
⇒$\sqrt{Δ^{'}}=\sqrt{234}=3\sqrt{26}$
⇒\(\left[ \begin{array}{l}x_{1}=\frac{-6+3\sqrt{26}}{3}=-2+\sqrt{26}\\x_{2}=\frac{-6-3\sqrt{26}}{3}=-2-\sqrt{26}\end{array} \right.\)
b)$2x^2-6x+1=0$
⇒$Δ^{'}=(-3)^{2}-2·1=7>0$⇒ pt có 2 nghiệm phân biệt
⇒$\sqrt{Δ^{'}}=\sqrt{7}$
⇒\(\left[ \begin{array}{l}x_{1}=\frac{3+\sqrt{7}}{2}\\x_{2}=\frac{3-\sqrt{7}}{2}\end{array} \right.\)
c)$(3x^{2}+10x-8)^{2}=(5x^{2}-2x+10)^{2}$
⇔ $3x^{2}+10x-8=5x^{2}-2x+10⇔ 2x^{2}-12x+18=0⇔ x^{2}-6x+9=0⇔ (x-3)^{2}=0$
⇔$x-3=0⇔x=3$
Hãy giúp mọi người biết câu trả lời này thế nào?
Bảng tin
1606
42055
3797
Vừa nhanh vừa đúng nha 😂
11
96
7
ok