Vui lòng chỉ chọn một câu hỏi
Hoidap247.com Nhanh chóng, chính xác
+
Danh mục mới
1
30
0
Hãy luôn nhớ cảm ơn và vote 5* nếu câu trả lời hữu ích nhé!
3466
47162
5958
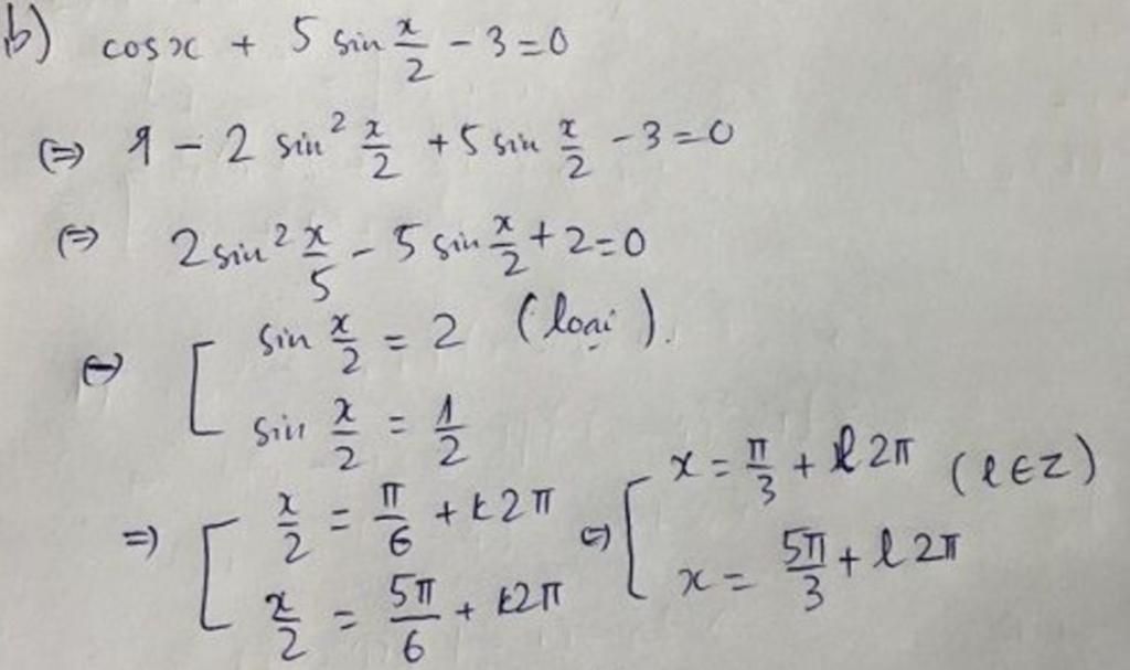
Sử dụng công thức nhân đôi của hàm $\cos$.
$\cos 2x=1-2{\sin}^2x$
$=2{\cos}^2x-1$
$={\cos}^2x-{\sin}^2x$
Hãy giúp mọi người biết câu trả lời này thế nào?
24
1130
13
Tại sao ra dc
Bảng tin
Gửi yêu cầu Hủy
24
1130
13
Tại sao ra dc