

Hãy luôn nhớ cảm ơn và vote 5*
nếu câu trả lời hữu ích nhé!
Đáp án:
Giải thích các bước giải:
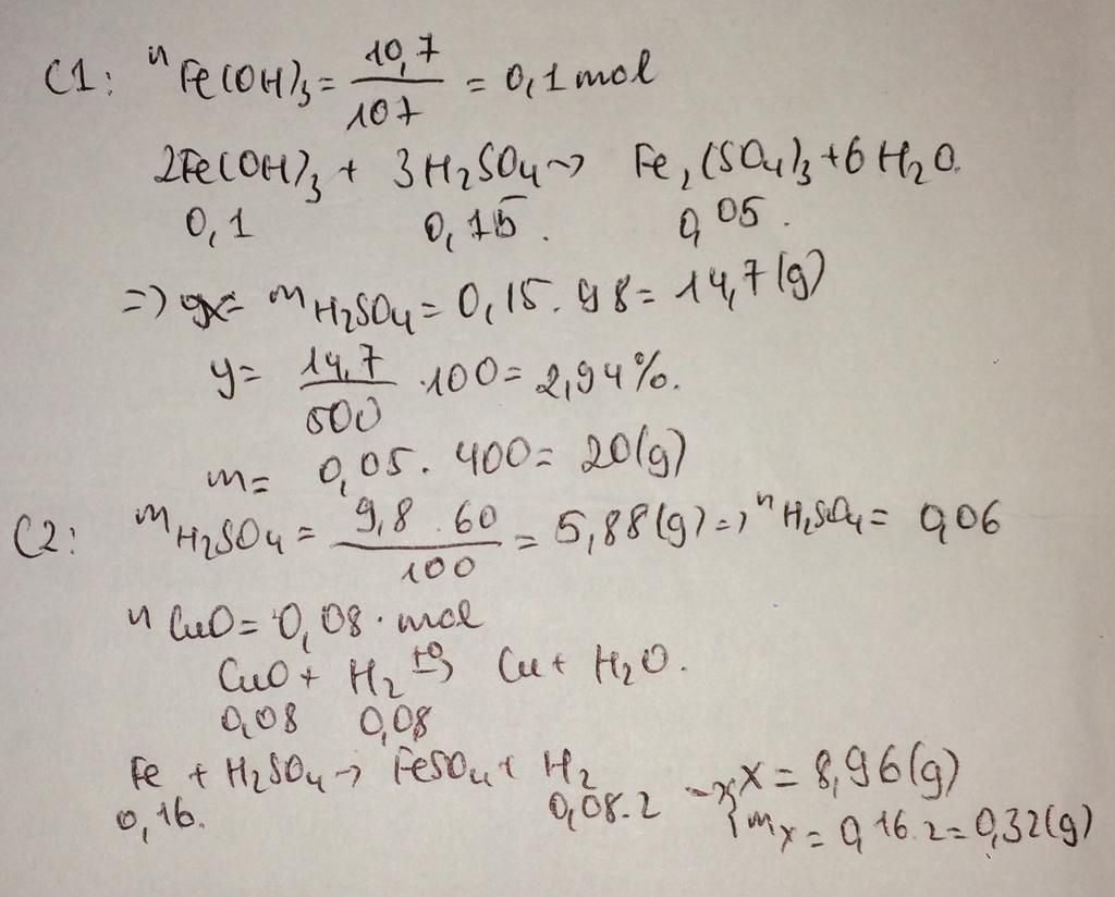
c1:
n Fe(OH)3=$\frac{m}{M}$= $\frac{10,7}{107}$=0,1 (mol)
2Fe(OH)3+3H2SO4→Fe2(SO4)3+3H2O
0,1→ 0,15 0,05 (mol)
m H2SO4=n.M=0,15.98=14,7 (gam)
C% HSO4=$\frac{m H2SO4}{m dung dịch H2SO4}$ .100=$\frac{14,7}{500}$ .100=2,94%
=>y%=2,94%
m Fe2(SO4)3=n.M=0,05.400=2 (gam)
=>m muối=2 (gam)
c2:
m H2SO4=$\frac{m dung dịch H2SO4}{100}$.C%= $\frac{60}{100}$.9,8=5,88 (gam)
n H2SO4=$\frac{m}{M}$= $\frac{5,88}{98}$=0,06 (mol)
Fe + H2SO4 → FeSO4 + H2
0,06 ←0,06→ 0,06 (mol)
m Fe=n.M=0,06.56=3,36 (gam)
=> X=3,36 (gam)
m H2=n.M=0,06.2=0,12 (gam)
=>mY=0,12 (gam)
CHÚC BN HC TỐT NHÉ :3333333
Hãy giúp mọi người biết câu trả lời này thế nào?

Bảng tin
1
1083
1
Ở câu 2 phần số mol của H2SO4 có 2 dấu mũi tên là sao ạ?
1152
22320
1292
à là từ đó suy ra á bn