

Hãy luôn nhớ cảm ơn và vote 5*
nếu câu trả lời hữu ích nhé!
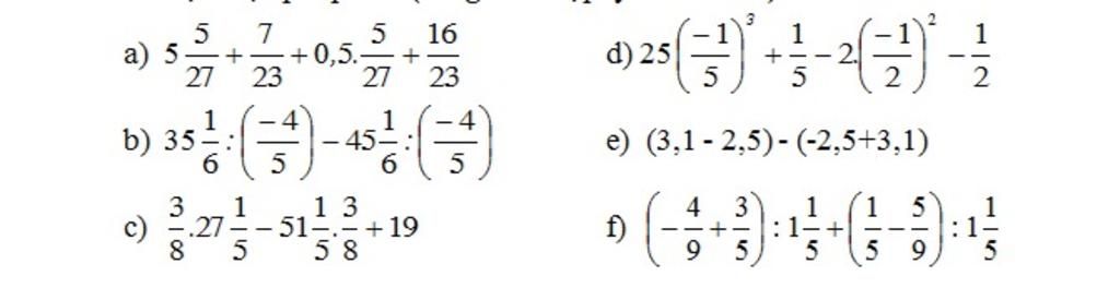
`a, 5 5/27 + 7/23 + 0,5. 5/27 + 16/23`
`= 140/27 + 7/23 + 5/54 + 16/23`
`= (140/27 + 5/54) + (7/23 + 16/23)`
`= 95/18 + 1`
`= 113/18`
`b, 35 1/6 : (-4)/5 - 45 1/6 : (-4)/5`
`= 35 1/6. (-5)/4 - 45 1/6. (-5)/4`
`= (-5)/4. (35 1/6 - 45 1/6)`
`= (-5)/4. [(35 - 45) + (1/6 - 1/6)]`
`= (-5)/4. [-10 + 0]`
`= (-5)/4. (-10)`
`= 25/2`
`c, 3/8. 27 1/5 - 51 1/5. 3/8 + 19`
`= 3/8. (27 1/5 - 51 1/5) + 19`
`= 3/8. [(27 - 51) + (1/5 - 1/5)] + 19`
`= 3/8. (-24) + 19`
`= -9 + 19`
`= 10`
`d, 25(-1/5)^3 + 1/5 - 2. (-1/2)^2 - 1/2`
`= 25. (-1)/125 + 1/5 - 2. 1/4 - 1/2`
`= (-1)/5 + 1/5 - 1/2 - 1/2`
`= 0 - (1/2 + 1/2)`
`= 0 - 1`
`= -1`
`e, (3,1 - 2,5) - (-2,5 + 3,1)`
`= 3,1 - 2,5 + 2,5 - 3,1`
`= (3,1 - 3,1) - (2,5 - 2,5)`
`= 0 - 0 `
`= 0`
`f, (-4/9 + 3/5) : 1 1/5 + (1/5 - 5/9) : 1 1/5`
`= 7/45 : 6/5 + (-16)/45 : 6/5`
`= 7/45. 5/6 - 16/45. 5/6`
`= 5/6. (7/45 - 16/45)`
`= 5/6. (-1)/5`
`= -1/6`
Hãy giúp mọi người biết câu trả lời này thế nào?

Đáp án:
A) 6,5
B) 25 PHẦN 2
C) 10
D) 0
E) 0
F) -1 phần 6
Giải thích các bước giải:
Không thể đánh máy nên mình viết nhé, bạn xem mấy bức ảnh ở dưới rồi chép lại nha.
Nhớ cho mình 5 sao hi
Hãy giúp mọi người biết câu trả lời này thế nào?

Bảng tin
300
-406
223
bạn dùng discord ko
2649
35732
2964
ko dùng j hết đừng hỏi nx
300
-406
223
oki, v bạn bt ai chuyên toán mà dùng fb ko ( nốt câu này )
2649
35732
2964
chịuuuuuu
2649
35732
2964
tick mk hay nhất đc k
300
-406
223
tl đi, rồi mk tick :>
2649
35732
2964
link câu hỏi `?`
300
-406
223
no, câu hỏi ai chuyên toán mà dùng fb cơ