

Hãy luôn nhớ cảm ơn và vote 5*
nếu câu trả lời hữu ích nhé!
$\text{1) Tính giá trị A khi x = 6}$
`+` $\text{Có A =}$ $\dfrac{2x - 1}{x - 1}$ $\text{(ĐK: x}$ $\geq$ $\text{0; x}$ $\neq$ $\text{1)}$
`=>` $\text{Thay x = 6 vào A}$
`=>` $\text{A = }$ $\dfrac{2 . 6 - 1}{6 - 1}$
`=` $\dfrac{12 - 1}{5}$
`=` $\dfrac{11}{5}$
$\text{Vậy A = }$ `11/5` $\text{ khi x = 6 với x}$ $\geq$ `0; x` $\neq$ `1`
$\text{Câu b) Trong ảnh}$
$\text{Câu c) Tính P trong ảnh}$
* $\text{Tìm giá trị x nguyên âm để P nguyên}$
$\text{- Có P = }$ $\dfrac{2x - 1}{x + 1}$ $\text{ĐK: x}$ $\neq$ $\pm$ `1`
$\text{Chia tử cho mẫu của P}$
`=>` `P =` $2 - \dfrac{3}{x + 1}$
$\text{- Để P nhận giá trị nguyên}$
`->` $\text{x + 1}$ $\in$ `Ư(3)` `=` `{1; - 1; 3; - 3}`
`=>` $\text{x = 0; - 2; 2; - 4}$
mà `x` nhận giá trị nguyên âm
`=>` `x = - 2; - 4`
$\text{Vậy x = - 2; - 4 thì P có giá trị nguyên}$
#Ling
Hãy giúp mọi người biết câu trả lời này thế nào?
![]()
Đáp án+Giải thích các bước giải:
`1)A=(2x-1)/(x-1)`
`ĐKXĐ:x-1\ne 0`
`=> x\ne 1`
Thay `x=6` vào `A` được :
`A=(2.6-1)/(6-1)`
`=>A=11/5`
Vậy với `x=6=>A=11/5`
`2)B=x/(x-1)+3/(x+1)-(6x-4)/(x²-1)`
`ĐKXĐ: ` $\begin{cases}x-1\ne 0\\x+1 \ne 0\\x²-1 \ne 0\end{cases}$
`=>` $\begin{cases}x \ne 1\\x \ne -1 \\ \left[ \begin{array}{l}x\ne 1\\x\ne -1\end{array} \right.\end{cases}$ `=>` $\begin{cases}x \ne -1\\x \ne 1\end{cases}$
`=>B=x/(x-1)+3/(x+1)-(6x-4)/(x²-1²)`
Áp dụng hằng đẳng thức số `3: A²-B²=(A-B)(A+B)`
`=>B=x/(x-1)+3/(x+1)-(6x-4)/((x-1)(x+1))`
`=>B=(x(x+1))/((x-1)(x+1))+(3(x-1))/((x+1)(x-1))-(6x-4)/((x-1)(x+1))`
`=>B=(x(x+1)+3(x-1)-(6x-4))/((x-1)(x+1))`
`=>B=(x²+x+3x-3-6x+4)/((x-1)(x+1))`
`=>B=(x²+x+3x+1-6x)/((x-1)(x+1))`
`=>B=(x²-2x+1)/((x-1)(x+1))`
`=>B=(x²-x-x+1)/((x-1)(x+1))`
`=>B=(x(x-1)-(x-1))/((x-1)(x+1))`
`=>B=((x-1)(x-1))/((x-1)(x+1))`
`=>B=(x-1)/(x+1)`
Vậy `B=(x-1)/(x+1)`
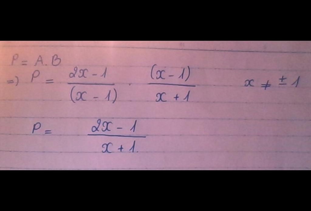
`3)P=AB=(2x-1)/(x-1) . (x-1)/(x+1)=((2x-1)(x-1))/((x-1)(x+1))=(2x-1)/(x+1)`
`ĐKXĐ : x+1\ne 0`
`=>x \ne -1`
Để `P` có giá trị là số nguyên `=>2x-1\vdots x+1`
`=>2x+2-3\vdots x+1`
`=>2(x+1)-3\vdots x+1`
Vì `2(x+1)\vdots x+1`
`2(x+1)-3\vdots x+1`
`=>-3\vdots x+1`
`=>x+1∈Ư(-3)={+-1;+-3}`
`=>x∈{0;-2;-4;2}`
Mà `x` là số nguyên âm `=>x∈{-2;-4}`
Vậy để `P` là số nguyên thì `x∈{-2;-4}`
Hãy giúp mọi người biết câu trả lời này thế nào?
![]()
Bảng tin