

Hãy luôn nhớ cảm ơn và vote 5*
nếu câu trả lời hữu ích nhé!
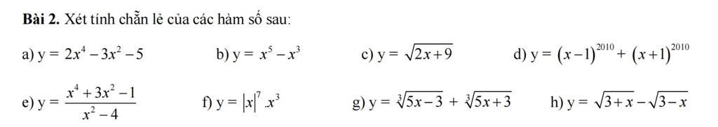
Đáp án:
`d)` Hàm số chẵn
`f)` Hàm số lẻ
`g)` Hàm số lẻ
Giải thích các bước giải:
`d)` `y=f(x)=(x-1)^{2010}+(x+1)^{2010}`
`TXĐ: D=RR`
`∀x\in D=>-x\in D`
`f(-x)=(-x-1)^{2010}+(-x+1)^{2010}`
`=[-(x+1)]^{2010}+[-(x-1)]^{2010}`
`=(x+1)^{2010}+(x-1)^{2010}`
`=f(x)`
`=>` Hàm số đã cho là hàm số chẵn
$\\$
`f)` `y=f(x)=|x|^7 .x^3`
`TXĐ: D=RR`
`∀x\in D=>-x\in D`
`f(-x)=|-x|^7 . (-x)^3=|x|^7 .(-x^3)=-|x|^7 . x^3=-f(x)`
`=>` Hàm số đã cho là hàm số lẻ
$\\$
`g)` `y=f(x)=\root{3}{5x-3}+\root{3}{5x+3}`
`TXĐ: D=RR`
`∀x\in D=>-x\in D`
`f(-x)=\root{3}{5(-x)-3}+\root{3}{5(-x)+3}`
`=\root{3}{-5x-3}+\root{3}{-5x+3}`
`=-\root{3}{5x+3}-\root{3}{5x-3}`
`=-(\root{3}{5x-3}+\root{3}{5x+3})`
`=-f(x)`
`=>` Hàm số đã cho là hàm số lẻ
Hãy giúp mọi người biết câu trả lời này thế nào?
![]()
Bảng tin