

Hãy luôn nhớ cảm ơn và vote 5*
nếu câu trả lời hữu ích nhé!
Đáp án + Giải thích các bước giải:
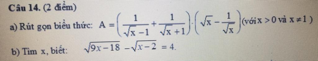
`a)A=(1/ sqrt(x-1)+1/sqrt(x+1))(sqrtx-1/sqrt(x))` (với `x>0,x\ne1`)
`={sqrt(x)+sqrt(x-1)}/{(sqrt(x)-1)(sqrt(x)+1)}.{x-1}/{sqrt(x)`
`=(2sqrt(x))/(x-1).(x-1)/sqrt(x)=2`
`b)sqrt(9x-18)-sqrt(x-2)=4`
`<=>sqrt(3^2(x-2))-sqrt(x-2)=4`
`<=>3sqrt(x-2)-sqrt(x-2)=4`
`<=>(3-1)sqrt(x-2)=4`
`<=>2sqrt(x-2)=4`
`<=>sqrt(x-2)=2`
`<=>(sqrt(x-2))^2=2^2`
`<=>x-2=4`
`<=>x=6` (TMĐK)
Vậy `x=6`
Hãy giúp mọi người biết câu trả lời này thế nào?
Đáp án +Giải thích các bước giải:
`a)` Với `x > 0, x \ne 1`
`A = ( 1/(sqrt{x} - 1) + 1/(sqrt{x} + 1) ). ( sqrt{x} - 1/(sqrt{x}) )`
`= (sqrt{x} + 1 + sqrt{x} - 1)/[(sqrt{x} - 1)(sqrt{x} + 1)]. [(sqrt{x})^2 - 1]/(sqrt{x})`
`= (2sqrt{x})/(x - 1). (x - 1)/(sqrt{x})`
`= (2sqrt{x})/(sqrt{x})`
`= 2`
`b) sqrt{9x - 18} - sqrt{x - 2} = 4` ĐKXĐ: `x ≥ 2`
`⇔ sqrt{9(x - 2)} - sqrt{x - 2} = 4`
`⇔ 3sqrt{x - 2} - sqrt{x - 2} = 4`
`⇔ 2sqrt{x - 2} = 4`
`⇔ sqrt{x - 2} = 2`
`⇔ x - 2 = 4`
`⇔ x = 6 ( tmđk )`
Vậy `x = 6`
Hãy giúp mọi người biết câu trả lời này thế nào?
![]()
Bảng tin