

Hãy luôn nhớ cảm ơn và vote 5*
nếu câu trả lời hữu ích nhé!
Đáp án:
`x = 1` hoặc `x = 8`
Giải thích các bước giải:
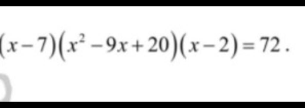
`(x - 7)(x^2 - 9x + 20)(x - 2) = 72`
`[(x - 7)(x - 2)](x^2 - 9x + 20)= 72`
`(x^2 - 2x - 7x + 14)(x^2 - 9x + 20) = 72`
`(x^2 - 9x + 14)(x^2 - 9x + 20) = 72`
$\\$
Đặt `t = x^2 - 9x + 14` ta có:
`t.(t + 6) = 72`
`t^2 + 6t = 72`
`t^2 + 6t - 72 = 0`
`t^2 + 12t - 6t - 72 = 0`
`(t^2 + 12t) - (6t + 72) = 0`
`t(t + 12) - 6(t + 12) = 0`
`(t + 12)(t - 6) = 0`
`=> t + 12 = 0` hoặc `t - 6 = 0`
`=> t = - 12` hoặc `t = 6`
$\\$
------------------------------
`TH_1:` Khi `t = - 12`
`=> x^2 - 9x + 14 = - 12`
`=> x^2 - 9x + 14 + 12 = 0`
`=> x^2 - 9x + 26 = 0`
`=> x^2 - 2.x . 9/2 + (81/4 + 23/4) = 0`
`=> x^2 - 2.x . 9/2 + 81/4 + 23/4 = 0`
`=> x^2 - 2.x . 9/2 + (9/2)^2 + 23/4 = 0`
`=> (x - 9/2)^2 + 23/4 = 0`
`=> (x - 9/2)^2 = - 23/4` (Vô Lý, Loại `TH_1`)
$\\$
------------------------------
`TH_2:` Khi `t = 6`
`=> x^2 - 9x + 14 = 6`
`=> x^2 - 9x + 14 - 6 = 0`
`=> x^2 - 9x + 8 = 0`
`=> x^2 - x - 8x + 8 = 0`
`=> (x^2 - x) - (8x - 8) = 0`
`=> x(x - 1) - 8(x -1) = 0`
`=> (x - 1)(x - 8) = 0`
`=> x - 1 = 0` hoặc `x - 8 = 0`
`=> x = 1` hoặc `x = 8`
Vậy `x = 1` hoặc `x = 8`
`#SunHee`
Hãy giúp mọi người biết câu trả lời này thế nào?

Đáp án:
`x=1` hoặc `x=8`
Giải thích các bước giải:
`(x-7)(x^2-9x+20)(x-2) = 72`
`<=> [(x-7)(x-2)](x^2-9x+20)-72 = 0`
`<=> (x^2-2x-7x+14)(x^2-9x+20)-72 = 0`
`<=> (x^2-9x+14)(x^2-9x+20)-72 = 0`
Đặt `x^2-9x+14 = a` ta có:
`<=> a(a+6)-72 = 0`
`<=> a^2+6a-72 = 0`
`<=> a^2+12a-6a-72 = 0`
`<=> (a^2+12a)-(6a+72) = 0`
`<=> a(a+12)-6(a+12) = 0`
`<=> (a-6)(a+12) = 0`
Thay `a=x^2-9x+14` vào ta có:
`<=> (x^2-9x+14-6)(x^2-9x+14+12) = 0`
`<=> (x^2-9x+8)(x^2-9x+26) = 0`
`<=> (x^2-8x-x+8)(x^2-9x+26) = 0`
`<=> [(x^2-8x)-(x-8)][(x^2-9x+81/4)+23/4] = 0`
`<=> [x(x-8)-(x-8)][(x-9/2)^2+23/4] = 0`
`<=> (x-1)(x-8)[(x-9/2)^2+23/4] = 0`
`<=>` \(\left[ \begin{array}{l}x-1=0\\x-8=0\\(x-\dfrac{9}{2})^2+\dfrac{23}{4}=0\end{array} \right.\)
`<=>` \(\left[ \begin{array}{l}x=1\\x=8\\(x-\dfrac{9}{2})^2=-\dfrac{23}{4}\end{array} \right.\)
Vì `(x-9/2)^2 >= 0` `AA x`
Mà `(x-9/2)^2 = -23/4` `(` vô lý `)`
`<=>` \(\left[ \begin{array}{l}x=1\\x=8\end{array} \right.\)
Vậy `x=1` hoặc `x=8`
Hãy giúp mọi người biết câu trả lời này thế nào?

Bảng tin
2037
3442
4570
Tâm linh nữa
2710
2188
4224
=))
2710
2188
4224
Nhìn rối quá @@
2037
3442
4570
Đâu =.= Dễ hiểu mà
327
2942
588
cảm ơn nha