Vui lòng chỉ chọn một câu hỏi
Hoidap247.com Nhanh chóng, chính xác
+
Danh mục mới
120
549
50
Hãy luôn nhớ cảm ơn và vote 5* nếu câu trả lời hữu ích nhé!
947
17218
1200
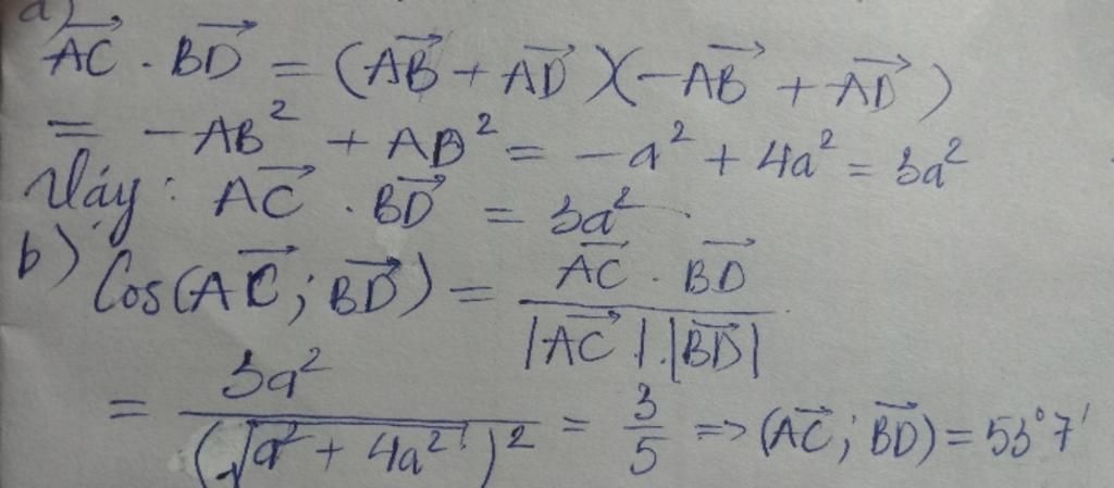
Đáp án:
Giải thích các bước giải:
Hãy giúp mọi người biết câu trả lời này thế nào?
Câu b mik k hiểu rõ ạ
Giải thích ci tiết hộ mik vs ạ
Mình có bổ sung r á, bạn đọc thử hiểu hơn k ạ.
Bảng tin
Gửi yêu cầu Hủy
120
549
50
Câu b mik k hiểu rõ ạ
120
549
50
Giải thích ci tiết hộ mik vs ạ
947
17218
1200
Mình có bổ sung r á, bạn đọc thử hiểu hơn k ạ.