Đăng nhập để hỏi chi tiết


Hãy luôn nhớ cảm ơn và vote 5*
nếu câu trả lời hữu ích nhé!
Đáp án+Giải thích các bước giải:
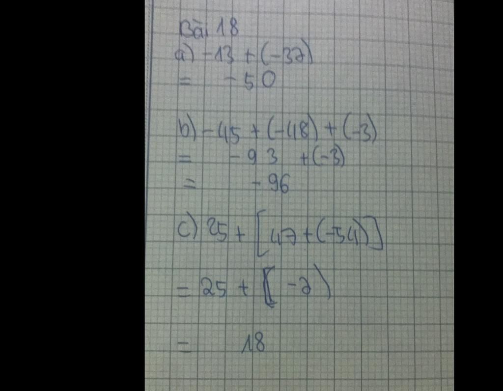
`a)(-13)+(-37)`
`=-(13+37)`
`=-50`
`b)-45+(-48)+(-3)`
`=-(45+48+3)`
`=-96`
`c)25+[47+(-54)]`
`=25+47+(-54)`
`=72+(-54)`
`=72-54`
`=18`
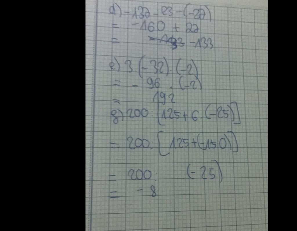
`d)-137-23-(-27)`
`=-137-23+27`
`=-(137+23)+27`
`=-160+27`
`=-(160-27)`
`=-133`
`e)3.(-32).(-2)`
`=3.[(-32).(-2)]`
`=3.64`
`=192`
`f)200:[125+6.(-25)]`
`=200:[125+(-150)]`
`=200:[125-150]`
`=200:(-25)`
`=(-8)`
Hãy giúp mọi người biết câu trả lời này thế nào?

Bảng tin