

Hãy luôn nhớ cảm ơn và vote 5*
nếu câu trả lời hữu ích nhé!
Đáp án:
`A = 10/x`
Giải thích các bước giải:
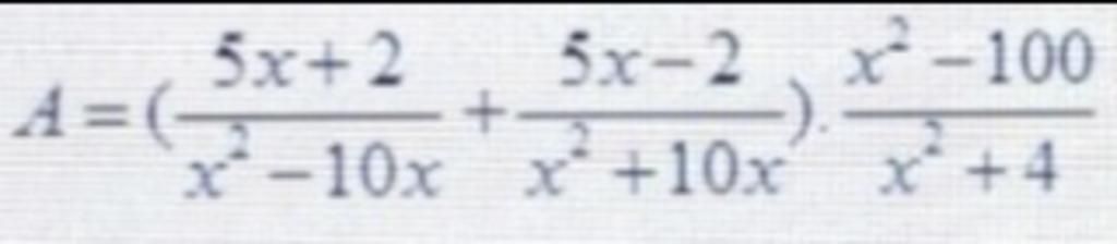
`A = ((5x + 2)/(x^2 - 10x) + (5x - 2)/(x^2 + 10x)) . (x^2 - 100)/(x^2 + 4)`
`= ((5x + 2)/(x(x - 10)) + (5x - 2)/(x(x + 10))) . (x^2 - 10^2)/(x^2 + 4)`
`= (((5x + 2)(x + 10))/(x(x - 10)(x + 10)) + ((5x - 2)(x - 10))/(x(x - 10)(x + 10))). ((x - 10)(x + 10))/(x^2 + 4)`
`= (((5x + 2)(x + 10) + (5x - 2)(x - 10))/(x(x -10)(x + 10))) . ((x - 10)(x + 10))/(x^2 + 4)`
`= ((5x^2 + 50x + 2x + 20 + 5x^2 - 50x - 2x + 20)/(x(x - 10)(x + 10))) .((x - 10)(x + 10))/(x^2 + 4)`
`= (10x^2 + 40)/(x(x - 10)(x + 10)) .((x - 10)(x + 10))/(x^2 + 4)`
`= (10(x^2 + 4))/(x(x - 10)(x + 10)) .((x - 10)(x + 10))/(x^2 + 4)`
`= 10/x`
Vậy `A = 10/x`
Hãy giúp mọi người biết câu trả lời này thế nào?

`A=((5x+2)/(x^2-10x)+(5x-2)/(x^2+10x)).(x^2-100)/(x^2+4)`
`=[((5x+2)(x+10))/(x(x-10)(x+10))+((5x-2)(x-10))/(x(x+10)(x-10))].(x^2-100)/(x^2+4)`
`=[(5x^2+50x+2x+20+5x^2-50x-2x+20)/(x(x^2-100))].(x^2-100)/(x^2+4)`
`=(10x^2+40x)/x . 1/(x^2+4)`
`=(10(x^2+4))/x . 1/(x^2+4)`
`=10/x`
Vậy `A=10/x.`
Hãy giúp mọi người biết câu trả lời này thế nào?

Bảng tin
3803
103311
3644
Dùng ngoặc vuông nhé.
2775
45099
2764
Vâng, thanks anh
2199
5109
1785
Dùng ngoặc vuông nhé. `->` Trong trường hợp này vẫn dùng ngoặc thường mà nhỉ .__? Cái ngoặc bên trong là nó chung của một đại lượng rồi không liên quan cái bên ngoài
3803
103311
3644
Cảm ơn bạn.