

Hãy luôn nhớ cảm ơn và vote 5*
nếu câu trả lời hữu ích nhé!
Đây là câu trả lời đã được xác thực
Câu trả lời được xác thực chứa thông tin chính xác và đáng tin cậy, được xác nhận hoặc trả lời bởi các chuyên gia, giáo viên hàng đầu của chúng tôi.
Bài `1`
`3,45 xx 10 = 34,5`
`9,1234 xx 1000 = 9123,4`
`0,238 xx 100 = 23,8`
`0,45 xx 10 = 4,5`
`23,48 xx 100 = 2348`
`4,067 xx 10 = 40,67`
`0,078 xx 1000 = 78`
`4,8 xx 100 = 480`
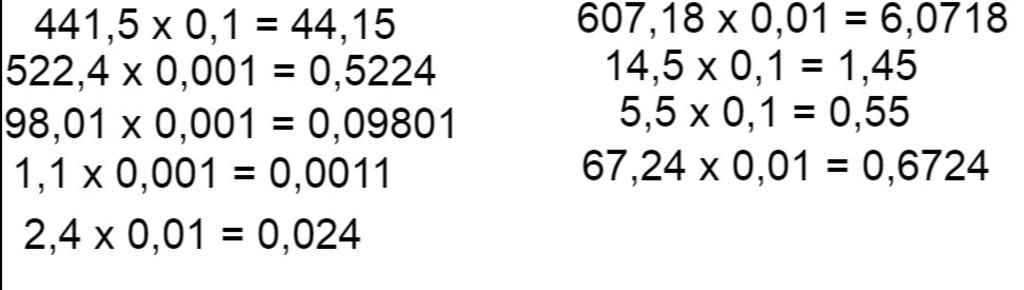
Bài `2`
`441,5 xx 0,1 = 44,15`
`522,4 xx 0,001 = 0,5224`
`98,01 xx 0,001 = 0,09801`
`1,1 xx 0,01 = 0,011`
`607,18 xx 0,01 = 6,0718`
`14,5 xx 0,1 = 1,45`
`5,5 xx 0,1 = 0,55`
`67,24 xx 0,01 = 0,6724`
`2,4 xx 0,01 = 0,024`
`#dtkc`
Hãy giúp mọi người biết câu trả lời này thế nào?
![]()
Đây là câu trả lời đã được xác thực
Câu trả lời được xác thực chứa thông tin chính xác và đáng tin cậy, được xác nhận hoặc trả lời bởi các chuyên gia, giáo viên hàng đầu của chúng tôi.
`1`
`3,45 xx 10 = 34,5`
`9,1234 xx 1000 = 9123,4`
`0,238 xx 100 = 023,8`
`0,45 xx 10 = 04,5`
`23,48 xx 100 = 2348`
`4,067 xx 10 = 40,67`
`0,078 xx 1000 = 78`
`4,8 xx 100 = 480`
`(vì khi nhân số thập phân nào với: 10, 100, 1000 ta chỉ cần chuyển dấu phẩy sang phải theo từng trường hợp. Ví dụ nhân 10 chuyển sang phải 1 chữ số,......)`
Hãy giúp mọi người biết câu trả lời này thế nào?
![]()
Bảng tin
8
868
4
Em cám ơn ạ!😊
13121
142374
12991
kcj !