Vui lòng chỉ chọn một câu hỏi
Hoidap247.com Nhanh chóng, chính xác
+
Danh mục mới
165
6324
117
Hãy luôn nhớ cảm ơn và vote 5* nếu câu trả lời hữu ích nhé!
12
95
7
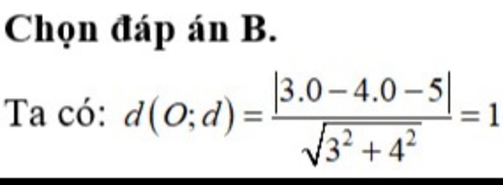
Đáp án:
Giải thích các bước giải:
cái này mình trình bày bên word nha
Hãy giúp mọi người biết câu trả lời này thế nào?
đánh giá mình 5 sao đi bạn^^
đáp án có đúng ko vậy ạ
dạ mik làm theo công thức thôi ạ
vg ạ
Xem thêm:
Bảng tin
Gửi yêu cầu Hủy
12
95
7
đánh giá mình 5 sao đi bạn^^
165
6324
117
đáp án có đúng ko vậy ạ
12
95
7
dạ mik làm theo công thức thôi ạ
165
6324
117
vg ạ