Đăng nhập để hỏi chi tiết


Hãy luôn nhớ cảm ơn và vote 5*
nếu câu trả lời hữu ích nhé!
Đáp án:
Giải thích các bước giải:
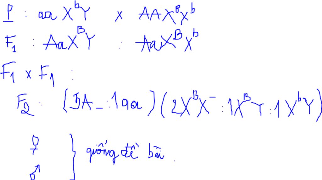
Do TT màu mắt phân bố không đều ở 2 giới --> 1gen nằm trên NST giới tính X, 1 gen nằm trên NST thường
Sơ đồ lai:
Hãy giúp mọi người biết câu trả lời này thế nào?
Bảng tin