

Hãy luôn nhớ cảm ơn và vote 5*
nếu câu trả lời hữu ích nhé!
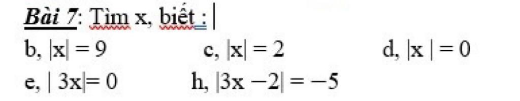
`b) | x | = 9`
`⇒` \(\left[ \begin{array}{l}x = 9\\x = - 9\end{array} \right.\)
Vậy `, x ∈ { 9 ; - 9 }`
`c) | x | = 2`
`⇒` \(\left[ \begin{array}{l}x = 2\\x = - 2\end{array} \right.\)
Vậy `, x ∈ { 2 ; - 2 }`
`d) | x | = 0`
`⇒ x = 0`
Vậy `, x = 0 .`
`e) | 3x | = 0`
`⇒ 3x = 0`
`⇒ x = 0 : 3`
`⇒ x = 0`
Vậy `, x = 0 .`
`h,` Vì `| 3x - 2 | ≥ 0 , - 5 < 0`
`⇒ x ∈ ∅`
Vậy `, x ∈ ∅ .`
Hãy giúp mọi người biết câu trả lời này thế nào?
b) `|x| = 9`
`=>` \(\left[ \begin{array}{l}x=9\\x=-9\end{array} \right.\)
Vậy `x = 9` hoặc `x = -9`
c) `|x| = 2`
`=>` \(\left[ \begin{array}{l}x=2\\x=-2\end{array} \right.\)
Vậy `x = 2` hoặc `x = -2`
d) `|x| = 0`
`=> x = 0`
Vậy `x = 0`
e) `|3x| = 0`
`=> 3x = 0`
`=> x = 0`
Vậy `x = 0`
h) `|3x - 2| = -5`
Ta có: ` |3x - 2| ≥ 0`
`=> -5 ≥ 0` (Vô lý)
Vậy x không tồn tại
Hãy giúp mọi người biết câu trả lời này thế nào?
Bảng tin