

Hãy luôn nhớ cảm ơn và vote 5*
nếu câu trả lời hữu ích nhé!
Ron
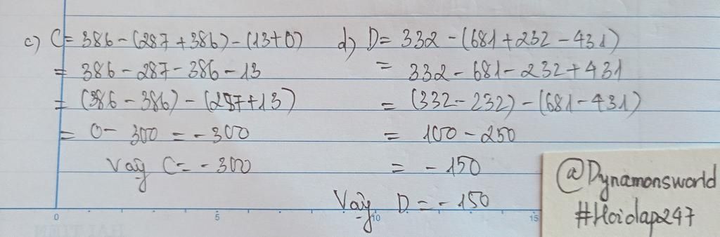
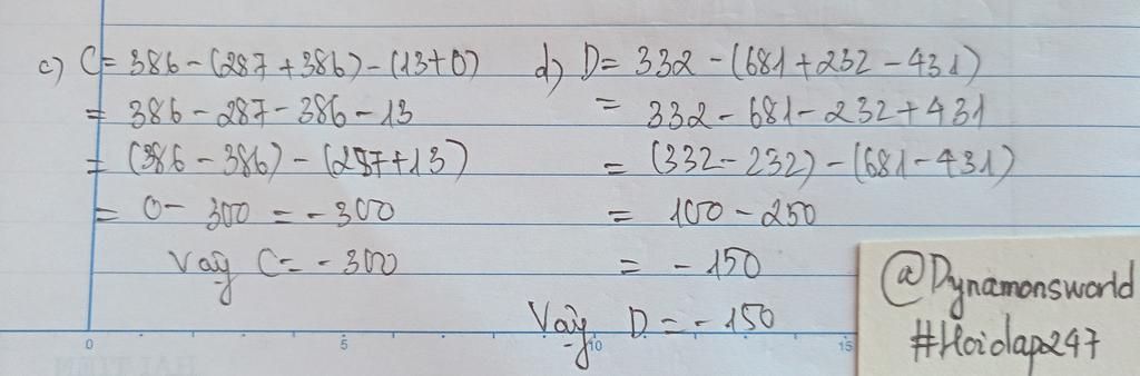
c, C = 386 - (287 + 386)
= 386 - 287 - 386
= (386 - 386) - 287
= 0 - 287
= -287
d, D = 332 - (681 + 232 - 431)
= 332 - 681 - 232 + 431
= (332 - 232) + (-681 + 431)
= 100 + (-250)
= -150
5) Tìm x biết
a, (-19) - (x - 19) = 0
x - 19 = (-19) - 0
x - 19 = -19
x = -19 + 19
x = 0
b, 15 + (x - 10) = 23
x - 10 = 23 - 15
x - 10 = 8
x = 8 + 10
x = 18
c, 19 - (-13 + x) = 40
-13 + x = 19 - 40
-13 + x = -21
x = -13 - (-21)
x = 8
Hãy giúp mọi người biết câu trả lời này thế nào?

Bảng tin