

Hãy luôn nhớ cảm ơn và vote 5*
nếu câu trả lời hữu ích nhé!
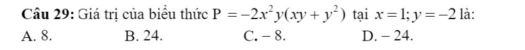
Ta có :
`P = -2x^2 y(xy + y^2) tại x = 1; y = -2`
`P = -2.1^2.(-2)(1.(-2) + (-2)^2)`
`P = -2.1.(-2)((-2) + 4)`
`P = 4 . 2`
`P = 8`
`=> Chọn A`
Hãy giúp mọi người biết câu trả lời này thế nào?
![]()
Bảng tin