PH/HS Tham Gia Nhóm Lớp 10 Để Trao Đổi Tài Liệu, Học Tập Miễn Phí!
III. BÀI TẬP TỰ LUẬN
Bài 1. Giải và biện luận các phương trình sau theo tham số m:
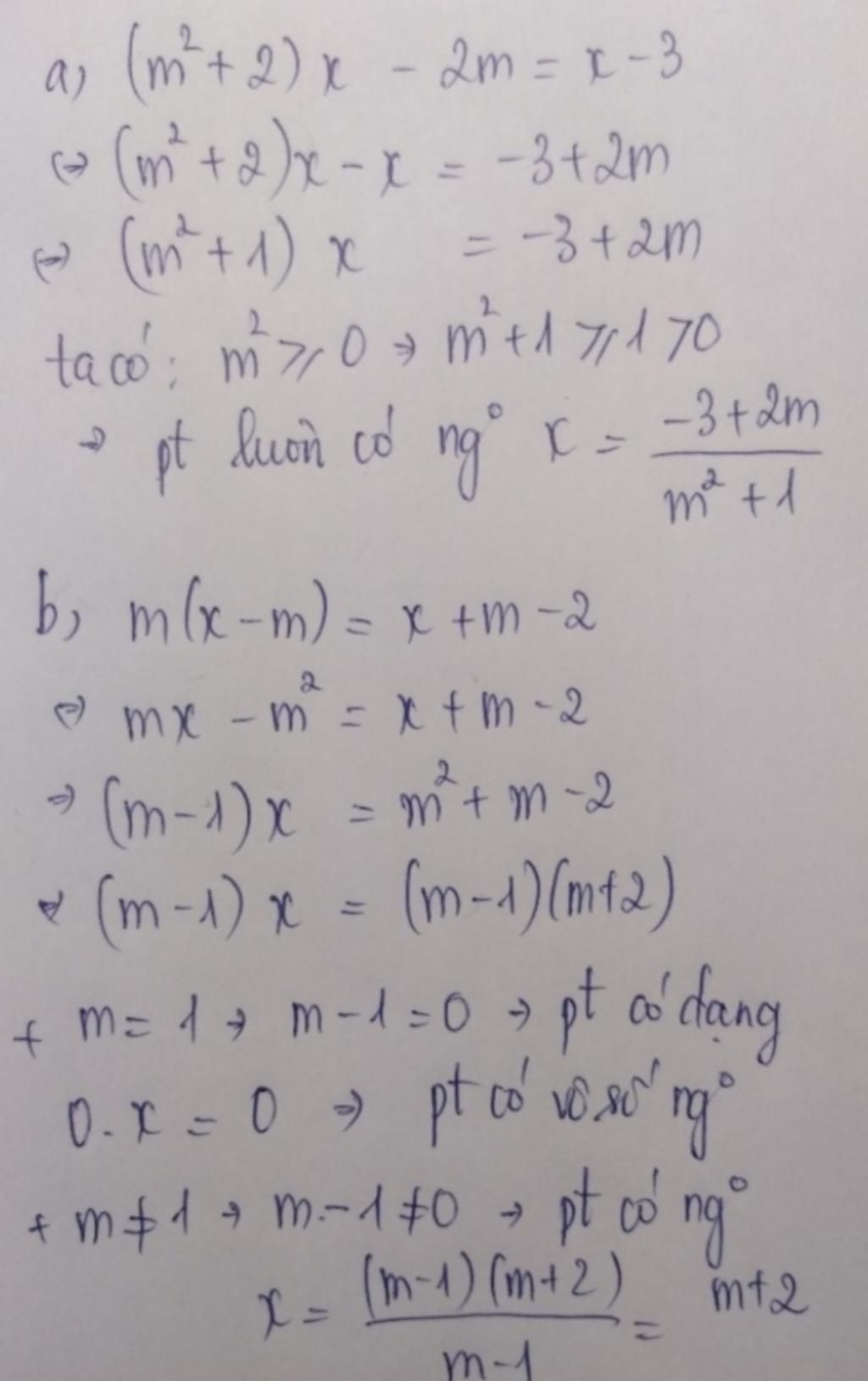
a) (m² +2)x – 2m = x- 3
b) т(х — т) %3 х+m-2
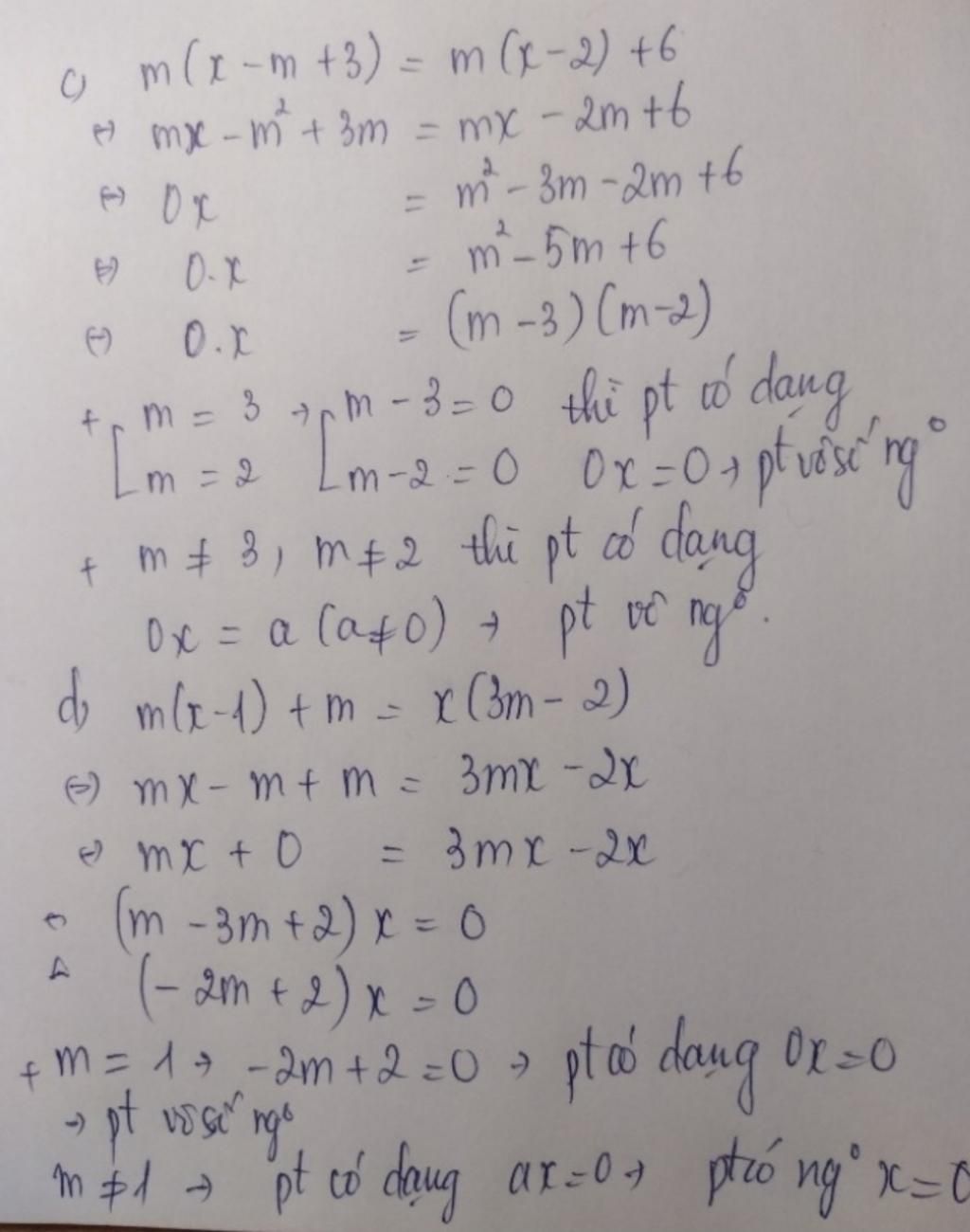
b) т(х — т+3) %3 т(х-2)+6
d) m2 (x- 1)+m= x(3m – 2)
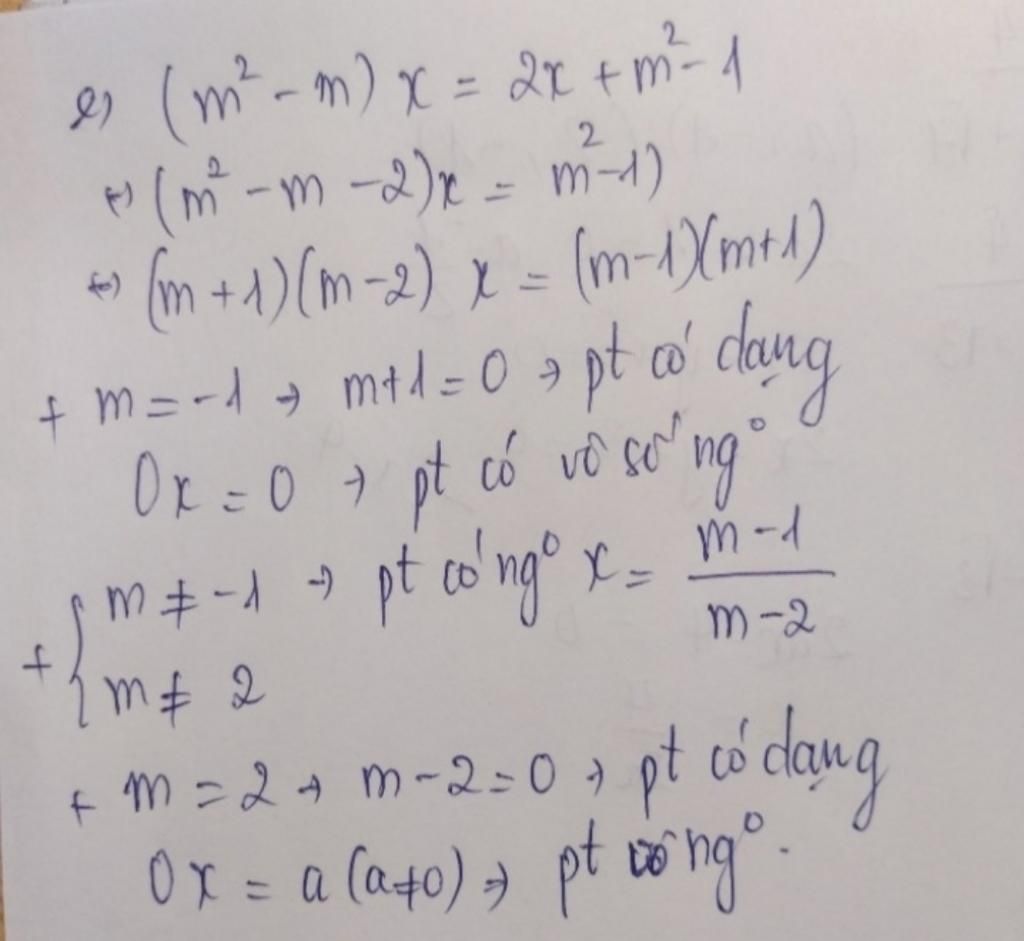
e) (m2 – m)x = 2x+m² – 1
f) (m+1) x = (2m+5)x+2+m
2
911
2
MÌnh thấy cách b làm nên á?
66
2970
43
Là sao
2
911
2
ntn á
66
2970
43
Thì bt mà