

Hãy luôn nhớ cảm ơn và vote 5*
nếu câu trả lời hữu ích nhé!
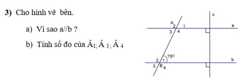
$\text{a) a // b vì}$
$\text{a ⊥ c (1)}$
$\text{b ⊥ c (2)}$
$\text{Từ (1) và (2) ⇒ a // b}$
$\text{b) Vì a // b (câu a)}$
$\text{⇒ $\widehat{B_1}$ = $\widehat{A_1}$ = $75^o$ (2 góc đồng vị) }$
$\text{Ta có : $\widehat{B_1}$ = $\widehat{A_3}$ = $75^o$ (2 góc sole trong) }$
$\text{⇒ $\widehat{B_1}$ + $\widehat{A_4}$ = $180^o$ (2 góc trong cùng phía) }$
$\text{⇒ $75^o$ + $\widehat{A_4}$ = $180^o$ }$
$\text{⇒ $\widehat{A_4}$ = $180^o$ - $75^o$ = $105^o$ }$
$\text{Vậy $\widehat{A_1}$ = $75^o$ ; $\widehat{A_3}$ = $75^o$ ; $\widehat{A_4}$ = $105^o$}$
Hãy giúp mọi người biết câu trả lời này thế nào?
![]()
3)
a) trong hình bên, ta thấy có hai góc bằng nhau và đồng vị nên a//b
b) ∠A1=∠B1=75*(đồng vị)
∠A3=∠B1=75*(so le trong)
∠A4 kề bù với ∠A3
∠A4=180*-∠A3=180*-75*=105*
Hãy giúp mọi người biết câu trả lời này thế nào?
![]()
Bảng tin