Vui lòng chỉ chọn một câu hỏi
Hoidap247.com Nhanh chóng, chính xác
+
Danh mục mới
0
1076
Hãy luôn nhớ cảm ơn và vote 5* nếu câu trả lời hữu ích nhé!
544
1125
825
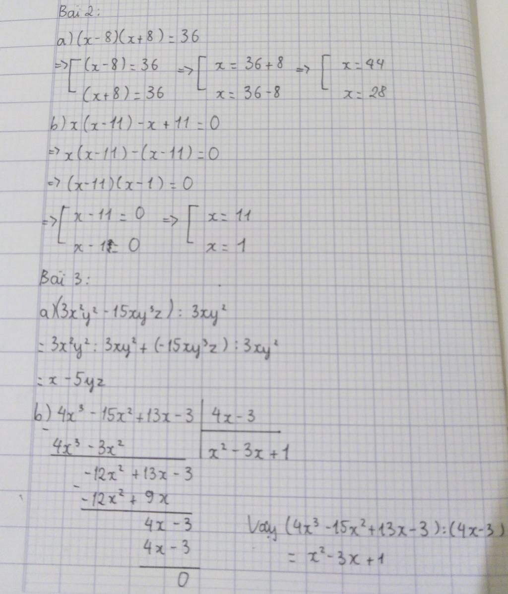
Đáp án: Giải thích các bước giải:
Đáp án ạ
. Chúc bạn học tốt
Hãy giúp mọi người biết câu trả lời này thế nào?
Bạn giúp mình bài này lun đc ko ?? https://hoidap247.com/cau-hoi/3059107
Bảng tin
Gửi yêu cầu Hủy
0
1076
0
Bạn giúp mình bài này lun đc ko ?? https://hoidap247.com/cau-hoi/3059107