

Hãy luôn nhớ cảm ơn và vote 5*
nếu câu trả lời hữu ích nhé!
Đáp án:
Giải thích các bước giải:
a, diện tích nền nhà. là : 6x8=48m²=480000cm²
b) Nếu lát nền nhà bằng những viên gạch hình vuông có cạnh 40cm thì cần sốviên gạch là:
480000:40=12000 viên
bài 2
hoctot
Hãy giúp mọi người biết câu trả lời này thế nào?
Đáp án:
Bài 1 :
a) Diện tích nền nhà là :
`8 × 6 = 48` ( m² )
b) Diện tích viên gạch hình vuông là :
`40 × 40 = 1600` ( cm² )
Đổi `1600 cm² = 0,16 m²`
Cần số viên gạch là :
`48 : 0,16 = 300` ( viên gạch )
Đáp số : a) `48` m²
b) `300` viên gạch
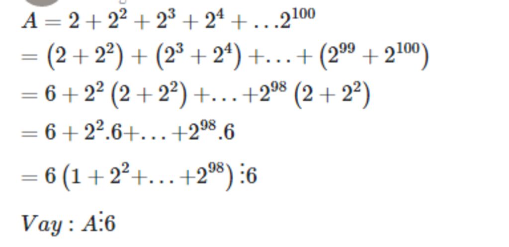
Bài 2 :
A = `2 + 2^2 + 2^3 + ... + 2^100 vdots 6`
`2 + 2^2 + 2^3 + ... + 2^100`
= `( 2 + 2^2 ) + ( 2^3 + 2^4 ) + ... + `( 2^99 + 2^100 )`
= `1 · ( 2 + 2^2 ) + 2^3 · ( 2 + 2^2 ) + ... + 2^99 · ( 2 + 2^2 )`
= `1 · 6 + 2^3 · 6 + ... + 2^99 · 6`
= `( 1 + 2^3 + ... + 2^99 ) · 6 vdots 6`
Hãy giúp mọi người biết câu trả lời này thế nào?
Bảng tin