

Hãy luôn nhớ cảm ơn và vote 5*
nếu câu trả lời hữu ích nhé!
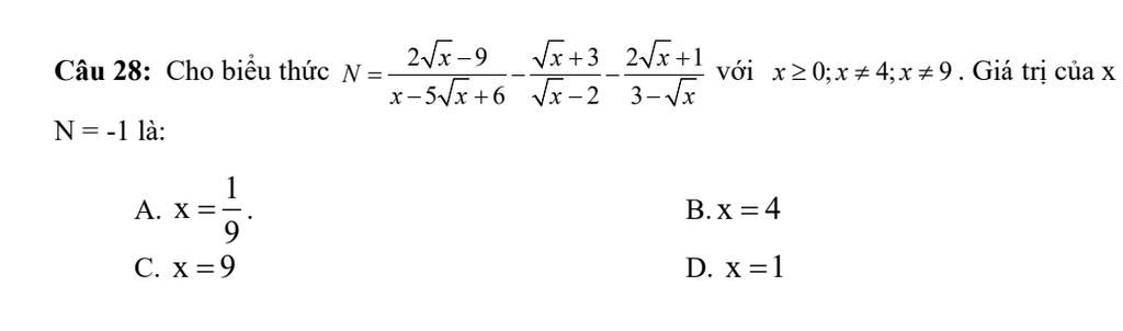
Mẹo làm bài này nhanh chóng
B1:Đầu tiên loại đi B và C vì trùng với ĐKXD
B2: Bạn gõ biểu thức đó lên máy tính casio của bạn ( phần này có thể học thêm)
B3 : Bạn ấn phím SOLVE trên máy tính của bạn
B4: Nhập giá trị x vào lần lượt.
Cái nào đúng thì chọn
Vậy là đáp án D
Hãy giúp mọi người biết câu trả lời này thế nào?
![]()
Bảng tin
242
6087
150
đi thi làm thế này nhanh hơn nhiều so vs ngồi chọn lọc và tính toán nhé