

Hãy luôn nhớ cảm ơn và vote 5*
nếu câu trả lời hữu ích nhé!
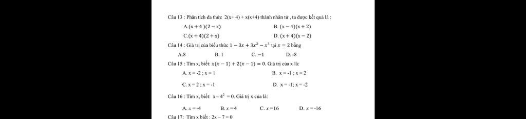
Đáp án:
$13):$
$2.(x+4)+x.(x+4)$
$= (2+x).(x+4)$
$⇒C$
$14):$
$1-3x+3x²-x³$
$= 1³-3.1².x+3.1.x²-x³$
$= (1-x)³$
$+)Thay$ $x=2$ $vào$ $bt$ $trên$ $ta$ $đc:$
$→ (1-2)³=(-1)³=-1$
$Vậy$ $giá$ $trị$ $của$ $bt$ $trên$ $khi$ $x=2$ $là$ $-1$
$⇒C$
$15):$
$x.(x-1)+2.(x-1)=0$
$⇔ (x+2).(x-1)=0$
$⇔$ \(\left[ \begin{array}{l}x+2=0\\x-1=0\end{array} \right.\) $⇔$ \(\left[ \begin{array}{l}x=-2\\x=1\end{array} \right.\)
$Vậy$ $x=-2$ $hoặc$ $x=1$
$⇒A$
$16):$
$ x-4²=0$
$⇔ x-16=0$
$⇔ x=16$
$Vậy$ $x=16$
$⇒C$
Hãy giúp mọi người biết câu trả lời này thế nào?
Bảng tin