Vui lòng chỉ chọn một câu hỏi
Hoidap247.com Nhanh chóng, chính xác
+
Danh mục mới
3
13
1
Hãy luôn nhớ cảm ơn và vote 5* nếu câu trả lời hữu ích nhé!
373
737
341
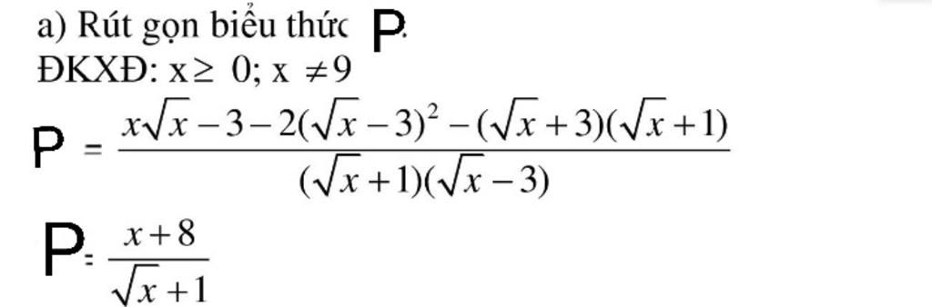
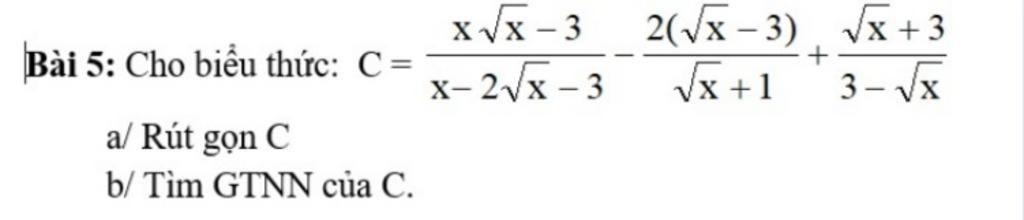
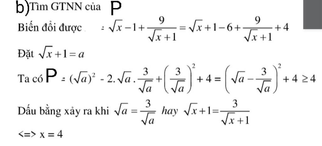
mk chỉ có câu A thôi
Hãy giúp mọi người biết câu trả lời này thế nào?
Xem thêm:
662
-13
575
Đáp án+Giải thích các bước giải:
Bảng tin
Gửi yêu cầu Hủy