Vui lòng chỉ chọn một câu hỏi
Hoidap247.com Nhanh chóng, chính xác
+
Danh mục mới
172
3613
195
Hãy luôn nhớ cảm ơn và vote 5* nếu câu trả lời hữu ích nhé!
341
3438
545
Đáp án
Bài làm
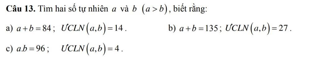
Phần a và b gửi ảnh nha
Phần c ko biết
#CHÚC BẠN HỌC TỐT
NHỚ VOTE MÌNH 5*
1 TRẢ LỜI HAY NHẤT
1 CẢM ƠN!!!!!
Hãy giúp mọi người biết câu trả lời này thế nào?
Ủa đang 4* mà sao giờ có 3* vậy?
bạn chép mình biết
Bảng tin
Gửi yêu cầu Hủy
341
3438
545
Ủa đang 4* mà sao giờ có 3* vậy?
172
3613
195
bạn chép mình biết