

Hãy luôn nhớ cảm ơn và vote 5*
nếu câu trả lời hữu ích nhé!
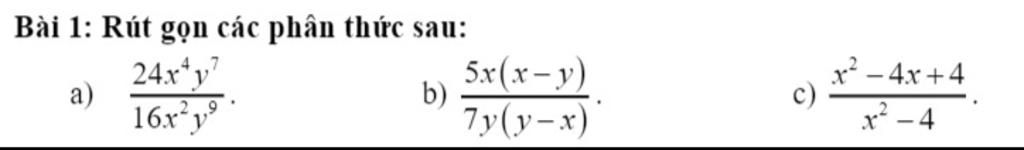
a/ ĐK: $x\ne 0;y\ne 0$
$\dfrac{24x^4y^7}{16x^2y^9}\\=\dfrac{8x^2y^7.3x^2}{8x^2y^7.2y^2}\\=\dfrac{3x^2}{2y^2}$
Vậy $\dfrac{24x^4y^7}{16x^2y^9}=\dfrac{3x^2}{2y^2}$ với $x\ne 0;x\ne 0$
b/ ĐK: $y\ne 0;x\ne y$
$\dfrac{5x(x-y)}{7y(y-x)}\\=\dfrac{5x(x-y)}{-7y(x-y)}\\=-\dfrac{5x}{7y}$
Vậy $\dfrac{5x(x-y)}{7y(y-x)}=-\dfrac{5x}{7y}$ với $y\ne 0;x\ne y$
c/ ĐK: $x\ne \pm 2$
$\dfrac{x^2-4x+4}{x^2-4}\\=\dfrac{(x-2)^2}{(x-2)(x+2)}\\=\dfrac{x-2}{x+2}$
Vậy $\dfrac{x^2-4x+4}{x^2-4}=\dfrac{x-2}{x+2}$ với $x\ne \pm 2$
Hãy giúp mọi người biết câu trả lời này thế nào?

$\\$
`a,`
`(24x^4y^7)/(16x^2y^9)`
`= (3x^2)/(2y^2)`
`b,`
`(5x(x-y))/(7y(y-x))`
`= (5x(x-y))/(-7y(x-y))`
`= (-5x)/(7y)`
`c.`
`(x^2-4x+4)/(x^2-4)`
`=(x-2)^2/((x-2)(x+2))`
`= (x-2)/(x+2)`
Hãy giúp mọi người biết câu trả lời này thế nào?

Bảng tin
64
651
20
cách làm ấy
64
651
20
24 với 16 chia hết cho 8
64
651
20
vậy còn x với y thì như nào
64
651
20
sao lại 8x^2y^7
8231
51666
5636
x với y bạn rút gọn nhé
64
651
20
ý là cái phần 8x^2y^7 á 8 chia hết cho 24 với 16 mà x^2y^7 á 2 với 7 lấy đâu ra í
8231
51666
5636
Mình không hiểu ý bạn. Bạn nói rõ hơn được không ?
64
651
20
bạn giúp mình với https://hoidap247.com/cau-hoi/3095816