

Hãy luôn nhớ cảm ơn và vote 5*
nếu câu trả lời hữu ích nhé!
Đáp án + Giải thích các bước giải:
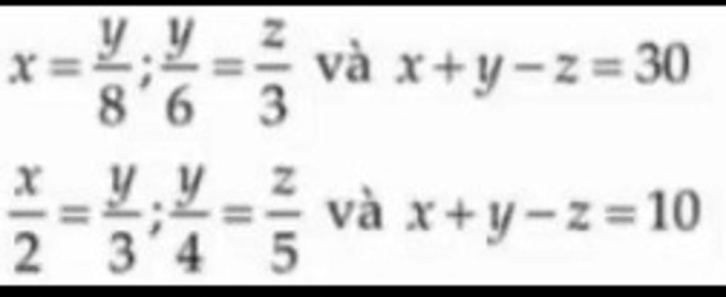
1)
`x = y/8`
= > `x/3 = y/24`
`y/6 = z/3`
= > `y/24 = z/12`
= > `x/3 = y/24= z/12`
Áp dụng tính chất dãy tỉ số bằng nhau ta có:
`x/3 = y/24= z/12 = {x + y - z}/{3 + 24 - 12} = 30/15 = 2`
= > `x/3 = 2 = > x = 3 . 2 = 6`
`y/24 = 2 = > y = 24 . 2 = 48`
`z/12 = 2 = > z = 2 . 12 = 24`
2) `x/2 = y/3`
= > `x/8 = y/12`
`y/4 = z/5`
= > `y/12 = z/15`
= > `x/8 = y/12 = z/15`
Áp dụng tính chất dãy tỉ số bằng nhau ta có:
`x/8 = y/12 = z/15 = {x + y - z}/{8 + 12 - 15} = 10/5 = 2`
= > `x/8 = 2 = > x = 2 . 8 = 16`
`y/12 = 2 = > y = 2 .12 = 24`
`z/15 = 2 = > z = 2 . 15 = 30`
Hãy giúp mọi người biết câu trả lời này thế nào?
![]()
`\text{Đáp án + Giải thích các bước giải:}`
`1) x =y/8 ; y/6 = z/3` và `x + y - z = 30`
`x/1 = y/8 => x/3 = y/24`
`y/6 = z/3 => y/24 = z/12`
`=> x/3 = y/24 = z/12`
Áp dụng tính chất dãy tỉ số bằng nhau, ta có:
`x/3 = y/24 = z/12 =` $\dfrac{x + y - z}{3 + 24 - 12}$ = $\dfrac{30}{15}$ = 2
`=> x/3 = 2 => x = 3 . 2 = 6`
`=> y/24 = 2 => y = 24 . 2 = 48`
`=> z/12 = 2 => z = 12 . 2 = 24`
Vậy x, y, z lần lượt là 6, 48 , 24.
`2) x/2 = y/3 ; y/4 = z/5` và `x + y - z = 10`
$\dfrac{x}{2}$ = $\dfrac{y}{3}$ ⇒ $\dfrac{x}{8}$ = $\dfrac{y}{12}$
`y/4 = z/5 => y/12 = z/15`
`=> x/8 = y/12 = z/15`
Áp dụng tính chất dãy tỉ số bằng nhau, ta có:
`x/8 = y/12 = z/15 =` $\dfrac{x + y - z}{8 + 12 - 15}$ `= 10/5 = 2`
`=> x/8 = 2 => x = 8 . 2 = 16`
`=> y/12 = 2 => y = 12 . 2 = 24`
`=> z/15 = 2 => z = 15 . 2 = 30`
Vậy x, y, z lần lượt là 16, 24, 30
Hãy giúp mọi người biết câu trả lời này thế nào?
![]()
Bảng tin