

Hãy luôn nhớ cảm ơn và vote 5*
nếu câu trả lời hữu ích nhé!
Đáp án:
Giải thích các bước giải:
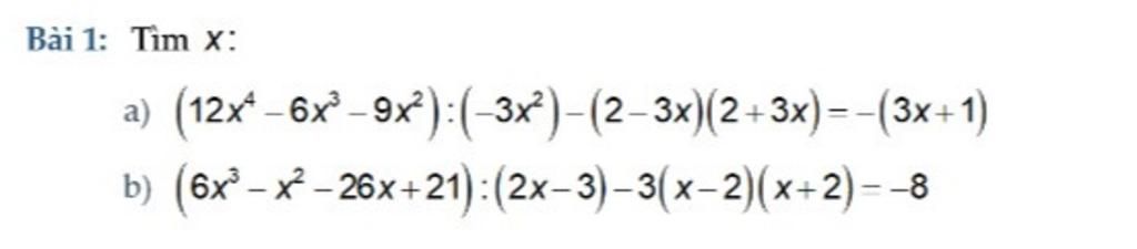
a) $(12x^4 - 6x^3 - 9x^2): (-3x^2) - (2- 3x)(2 + 3x) = -(3x + 1)
$-4x^2 + 2x + 3 - (4 - 9x^2) = -3x - 1$
$-4x^2 + 2x + 3 - 4 + 9x^2 = -3x - 1$
$5x^2 + 2x - 1 = -3x - 1$
$5x^2 + 2x - 1 + 3x + 1 = 0$
$5x^2 + 5x = 0$
$5x(x + 1) = 0$
\(\left[ \begin{array}{l}5x=0\\x+1=0\end{array} \right.\)
\(\left[ \begin{array}{l}x=0\\x=-1\end{array} \right.\)
b) $(6x^3 - x^2 - 26x + 21): (2x - 3) - 3(x - 2)(x + 2) = -8$
Thực hiện phép chia ra nháp, ta được $(6x^3 - x^2 - 26x + 21): (2x - 3) = 3x^2 + 4x - 7$
$3x^2 + 4x - 7 - 3(x^2 - 4) = -8$
$3x^2 + 4x - 7 - 3x^2 + 12 = -8$
$4x + 5 = -8$
$4x = -13$
$x = \frac{-13}{4}$
Hãy giúp mọi người biết câu trả lời này thế nào?
Bảng tin