

Hãy luôn nhớ cảm ơn và vote 5*
nếu câu trả lời hữu ích nhé!
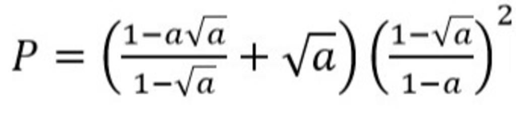
`P=((1-a\sqrt{a})/(1-\sqrt{a})+\sqrt{a})((1-\sqrt{a})/(1-a))^2`
`P=[((1-\sqrt{a})(a+\sqrt{a}+1))/(1-\sqrt{a})+\sqrt{a}]((1-\sqrt{a})/((1-\sqrt{a})(1+\sqrt{a})))^2`
`P=(a+\sqrt{a}+1+\sqrt{a})(1)/((1+\sqrt{a})^2)`
`P=(a+2\sqrt{a}+1)/((1+\sqrt{a})^2)`
`P=((\sqrt{a}+1)^2)/((1+\sqrt{a})^2)`
`P=1`
Hãy giúp mọi người biết câu trả lời này thế nào?
$ P = ( \dfrac{1-a\sqrt[]{a}}{1-\sqrt[]{a}} + \sqrt[]{a} ) ( \dfrac{1-\sqrt[]{a}}{1-a} )^2 $
$ = [ \dfrac{(1-\sqrt[]{a})(1+\sqrt[]{a}+1)}{1-\sqrt[]{a}} + \sqrt[]{a} ] [ \dfrac{1-\sqrt[]{a}}{(1-\sqrt[]{a})(1+\sqrt[]{a})} ]^2 $
$ = ( 1 + \sqrt[]{a} + a + \sqrt[]{a} ) ( \dfrac{1}{1+\sqrt[]{a}})^2$
$ = ( 1 + \sqrt[]{a} )^2 . \dfrac{1}{(1+\sqrt[]{a})^2} $
$ = 1 $
Hãy giúp mọi người biết câu trả lời này thế nào?
Bảng tin