Đăng nhập để hỏi chi tiết


Hãy luôn nhớ cảm ơn và vote 5*
nếu câu trả lời hữu ích nhé!
Quy `X` thành `Fe,S`
`n_{OH^-}=2n_{Ba(OH)_2}+n_{NaOH}=0,48(mol)`
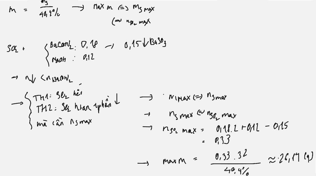
`TH_1:` `SO_2` thiếu.
Bảo toàn `S:` `n_S=n_{SO_2}=n_{BaSO_3}=(32,55)/(217)=0,15(mol)`
`->m_S=0,15.32=4,8(g)`
`->m=(4,8)/(40,4%)=11,9(g)`
`TH_2:` `SO_2` dư, tủa bị hòa tan.
`n_S=n_{SO_2}=0,48-0,15=0,33(mol)`
`->m_S=10,56(g)`
`->m=(10,56)/(40,4%)=26,14(g)`
`->m_{Max}=26,14(g)`
Hãy giúp mọi người biết câu trả lời này thế nào?
Bảng tin