Vui lòng chỉ chọn một câu hỏi
Hoidap247.com Nhanh chóng, chính xác
+
Danh mục mới
0
17
Hãy luôn nhớ cảm ơn và vote 5* nếu câu trả lời hữu ích nhé!
2983
1411
3509
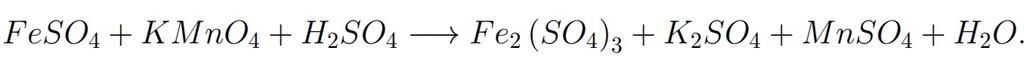
Đáp án+Giải thích các bước giải:
`10FeSO_4 + 2KMnO_4 + 8H_2SO_4 -> 5Fe_2(SO_4)_3 + K_2SO_4 + 2MnSO_4 + 8H_2O`
Hãy giúp mọi người biết câu trả lời này thế nào?
thăng bằng e bạn ạ
v bn bc ctl của mình đi
11
222
6
Đáp án:2FeSO4+2KMnO4+H2SO4→Fe(SO4)3+K2SO4+2MnSO4+H2O
Giải thích các bước giải:
Bảng tin
Gửi yêu cầu Hủy
0
17
0
thăng bằng e bạn ạ
2983
1411
3509
v bn bc ctl của mình đi