Tham Gia Group Dành Cho Lớp 8 Chia Sẻ, Trao Đổi Tài Liệu Miễn Phí
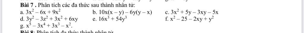
a. 3x2
d. 3y? - 32? + 3x? + 6ху
g. x - 3x + 3x3- х2,
Bài 8. Phân tích đạ thức thành phân tử
Bài 7. Phân tích các đa thức sau thành nhân tử:
b. 10x(х - у) бу(у - х)
е. 16х3 + 54y3
с. Зх + 5у-3ху-5х
f. x2 - 25-2ху+ y?
бх + 9х2