Vui lòng chỉ chọn một câu hỏi
Hoidap247.com Nhanh chóng, chính xác
+
Danh mục mới
0
73
Hãy luôn nhớ cảm ơn và vote 5* nếu câu trả lời hữu ích nhé!
6655
137658
10088
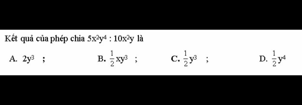
Lời giải:
`5x^(2)y^(4):10x^(2)y`
`=(10x^(2)y.(1)/2y^3):10x^(2)y`
`=1/2y^3`
`->C`.
Hãy giúp mọi người biết câu trả lời này thế nào?
2305
30862
2617
`5x^2y^4` `:` `10x^2y`
`=` `(5:10)` `(x^2:x^2)` `(y^4:y)`
`=` `1/2``y^3`
`=>` `Vậy` `chọn` `C`
Bảng tin
Gửi yêu cầu Hủy