

Hãy luôn nhớ cảm ơn và vote 5*
nếu câu trả lời hữu ích nhé!
Giải thích các bước giải:
a) Vì A ∈ (P) nên 3 = 4a + 2b + c
Mặt khác (P) có đỉnh I(1;2) nên:
(-b)/(2a) = 1 ⇔ 2a + b = 0
Lại có I ∈ (P) suy ra a + b + c = 2
Ta có hệ phương trình:
Vậy (P) cần tìm là y = x2 - 2x + 3.
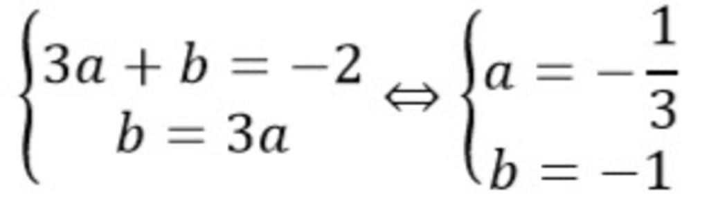
b) Ta có c = 2 và (P) đi qua B(3; -4) nên -4 = 9a + 3b + 2 ⇔ 3a + b = -2
(P) có trục đối xứng là x = (-3)/2 nên (-b)/(2a) = -3/2 ⇔ b = 3a
Ta có hệ phương trình:
Vậy (P) cần tìm là y = (-1)x2/3 - x + 2.
c) Hàm số y = ax2 + bx + c có giá trị nhỏ nhất bằng 3/4 khi x = 1/2 nên ta có:
Hàm số y = ax2 + bx + c nhận giá trị bằng 1 khi x = 1 nên a + b + c = 1 (2)
Từ (1) và (2) ta có hệ phương trình:
Vậy (P) cần tìm là y = x2 - x + 1.
Hãy giúp mọi người biết câu trả lời này thế nào?

Bảng tin