Vui lòng chỉ chọn một câu hỏi
Hoidap247.com Nhanh chóng, chính xác
+
Danh mục mới
0
4
Hãy luôn nhớ cảm ơn và vote 5* nếu câu trả lời hữu ích nhé!
161
9085
146
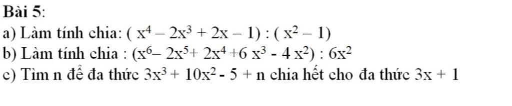
Đáp án:
Giải thích các bước giải:
trong ảnh ạ
xin 5 sao và hay nhất
Hãy giúp mọi người biết câu trả lời này thế nào?
593
268
656
bn đó
vô nhóm mk ko hả bn tranthuylinh85911
mik học rốt lắm
ko giỏi đâu
kệ bn có vô ko
ko
tại mik ko giỏi
mk cx thế
551
1129
489
Bổ xung câu C
Để Có phép chia hết thì số dư phải bằng 0
`->n-4 = 0`
`->n=4`
cho hay nhất nha bạn
bạn lm sai câu c rồi ạ
mik ạ thế thì cho mik xin lỗi
ôk
Bảng tin
Gửi yêu cầu Hủy
593
268
656
bn đó
593
268
656
vô nhóm mk ko hả bn tranthuylinh85911
161
9085
146
mik học rốt lắm
161
9085
146
ko giỏi đâu
593
268
656
kệ bn có vô ko
161
9085
146
ko
161
9085
146
tại mik ko giỏi
593
268
656
mk cx thế