

Hãy luôn nhớ cảm ơn và vote 5*
nếu câu trả lời hữu ích nhé!
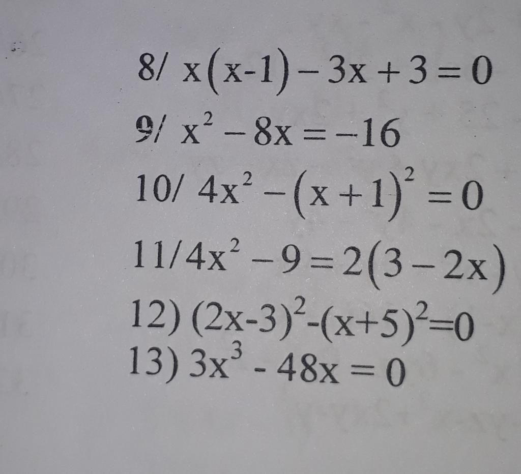
a) x(x-1)-3x+3=0
=> x(x-1)-3(x-1)=0
=> (x-1)(x-3)=0
=>\(\left[ \begin{array}{l}x=1\\x=3\end{array} \right.\)
b) x²-8x=-16
=> x²-8x+16=0
=> (x-4)²=0
=> x-4=0=> x=4
c) 4x²-(x+1)²=0
=> (2x-x-1)(2x+x+1)=0
=> (x-1)(3x+1)=0
=> \(\left[ \begin{array}{l}x=1\\x=-1/3\end{array} \right.\)
d) 4x²-9=2(3-2x)
=> 4x²-9-2(3-2x)=0
=> 4x²-9-6+4x=0
=> 4x²-15+4x=0
=> \(\left[ \begin{array}{l}x=3/2\\x=-5/2\end{array} \right.\)
e) (2x-3)²-(x+5)²=0
=> (2x-3-x-5)(2x-3+x+5)=0
=> (x-8)(x+2)=0
=>\(\left[ \begin{array}{l}x=8\\x=-2\end{array} \right.\)
f) 3x³-48x=0
=> 3x(x²-16)=0
=> 3x=0=> x=0
Hoặc x²-16=0=> x= 4 hoặc x=-4
Hãy giúp mọi người biết câu trả lời này thế nào?
Bảng tin
4
45
3
Ko sao
117
2360
666
Hnay ming bận nghỉ đại được k ạ
264
5740
369
Uk
117
2360
666
Camon nhea:3
34
709
26
bạn rưởng nhóm ơi
34
709
26
mik kiếm đc 3 điểm cộng cho nhóm rùi, bạn cho mik nghỉ hôm nay nha, mai mik làm tiếp cái đại
4
45
3
Ok
264
5740
369
Uk