

Hãy luôn nhớ cảm ơn và vote 5*
nếu câu trả lời hữu ích nhé!
Đáp án:
Giải thích các bước giải:
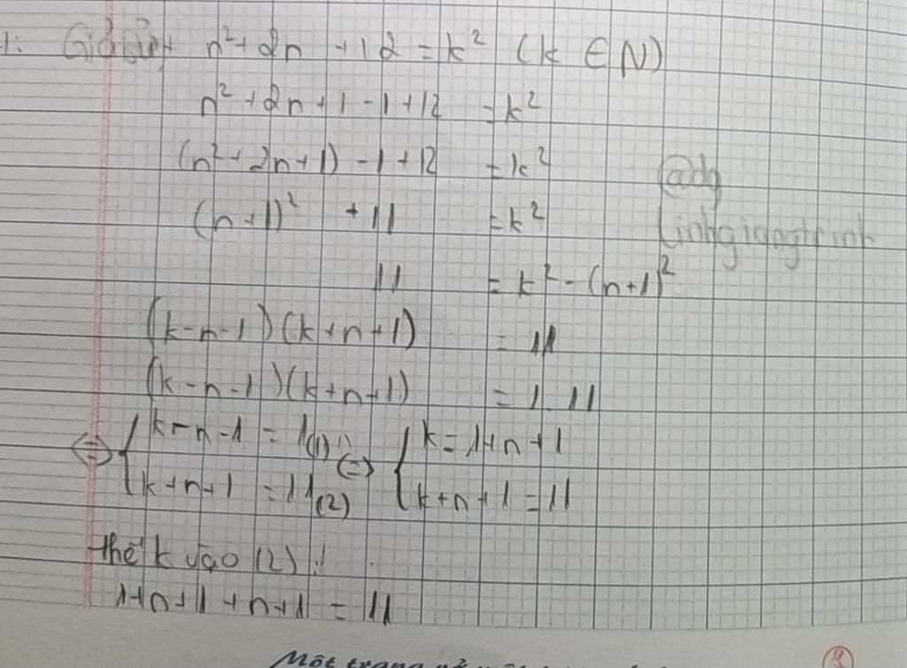
Vì n2 + 2n + 12 là số chính phương nên đặt n2 + 2n + 12 = k2 (k thuộc N)
Suy ra (n2 + 2n + 1) + 11 = k2
Suy ra k2 – (n+1)2 = 11
Suy ra (k+n+1)(k-n-1) = 11
Nhận xét thấy k+n+1 > k-n-1 và chúng là những số nguyên dương, nên ta có thể viết : (k+n+1)(k-n-1) = 11.1
+ Với k+n+1 = 11 thì k = 6
Thay vào ta có : k – n - 1 = 1
6 - n - 1 =1 Suy ra n = 4
Hãy giúp mọi người biết câu trả lời này thế nào?
Bảng tin