

Hãy luôn nhớ cảm ơn và vote 5*
nếu câu trả lời hữu ích nhé!
~ gửi bạn ~
Đáp án:
`a = 21`
Giải thích các bước giải:
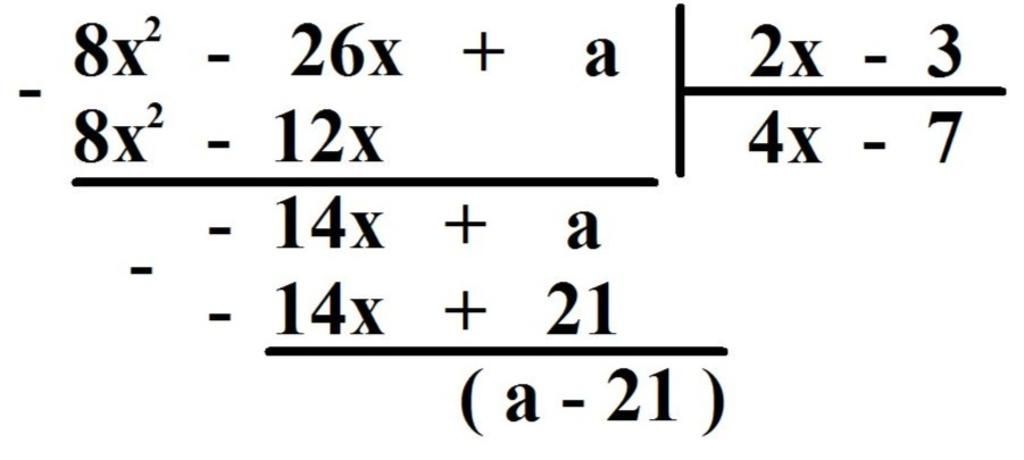
`C_1:` Đặt phép chia `(`.ảnh`)`
---
`C_2:` Xét giá trị riêng `:`
Gọi đa thức thương của phép chia đa thức `8x^2 - 26x + a` cho `2x - 3` là `Q(x)`
Để `8x^2 - 26x + a` chia hết cho `2x - 3` thì dư bằng `0`
`8x^2 - 26x + a = (2x - 3).Q(x) ∀ x (1)`
Vì đẳng thức đúng với mọi `x` nên `(1)` cũng đúng với `x = 3/2`
Thay `x = 3/2` vào `(1)`
`=>` Ta được: ` 8. (3/2) - 26. 3/2 + a = 0`
`8 . 9/4 - 39 + a = 0`
`18 - 39 + a = 0`
`- 21 + a = 0`
` a = 21`
Hãy giúp mọi người biết câu trả lời này thế nào?
![]()
`C_1:`
Áp dụng hệ quả của định lí Bơzu :
Để `8x^2-26x+a vdots 2x-3` thì `f(3/2)=0`
`<=> 8 . (3/2)^2 - 26 . 3/2 + a = 0`
`<=> 18 - 39 + a = 0`
`<=> a - 21 = 0`
`<=> a = 21`
Vậy `a=21`
`C_2:`
Xem ảnh.
Để `8x^2-26x+a vdots 2x-3` thì `a-21=0`
`<=> a=21`
Vậy `a=21`
Hãy giúp mọi người biết câu trả lời này thế nào?
![]()
Bảng tin