Đăng nhập để hỏi chi tiết


Hãy luôn nhớ cảm ơn và vote 5*
nếu câu trả lời hữu ích nhé!
$\textit{Đáp án + Giải thích các bước giải:}$
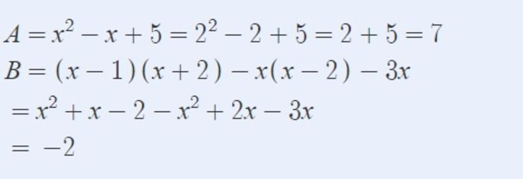
`C=A+B`
`C=x^2-x+5+(-2)`
`C=x^2-x+3`
`C=x^2-2. x. 1/2+1/4+11/4`
`C=(x-1/2)^2+11/4\ge11/4`
$\text{Dấu "=" xảy ra khi}$ `(x-1/2)^2=0`
`⇔x-1/2=0`
`⇔x=1/2`
$\text{Vậy GTNN của $C=\dfrac{11}{4}$ khi}$ `x=1/2`
Hãy giúp mọi người biết câu trả lời này thế nào?
Bảng tin
2
218
2
ok bạn
329
743
237
https://hoidap247.com/cau-hoi/2822232 Giúp mình câu này với được khum b:>