Vui lòng chỉ chọn một câu hỏi
Hoidap247.com Nhanh chóng, chính xác
+
Danh mục mới
0
1459
Hãy luôn nhớ cảm ơn và vote 5* nếu câu trả lời hữu ích nhé!
47
1486
18
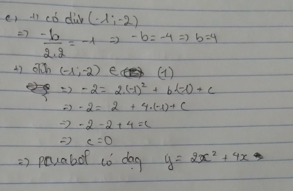
Đáp án:
khi nhìn vô đầu bài thì ta đã biết
a=2;b=?c=?
Giải thích các bước giải:
vote cho mk 5 sao nha chúc bn hc tốt
Hãy giúp mọi người biết câu trả lời này thế nào?
vâng cảm ơn bạn... xin lỗi nhưng mà bạn có thể chụp giúp mình rõ hơn được không?? Mờ quá mik ko nhìn rõ được luôn
Mk.sửa lại rùi đó
Bn sem đi
Tại đầu tiên mk gửi = mt á lên nó hơi mờ
cảm ơn bạn ^^ bạn ơi, mình ko giỏi toán lắm, mình hỏi chỗ này đc ko.. sao mình tìm đc ẩn c vậy bạn??
ẩn c ở ý c á
https://www.facebook.com/profile.php?id=100067213972112 link fb của mk nè có j o hỉu thì kb call vs mk nhá
cảm ơn bạn ^^
Bảng tin
Gửi yêu cầu Hủy
0
1459
0
vâng cảm ơn bạn... xin lỗi nhưng mà bạn có thể chụp giúp mình rõ hơn được không?? Mờ quá mik ko nhìn rõ được luôn
47
1486
18
Mk.sửa lại rùi đó
47
1486
18
Bn sem đi
47
1486
18
Tại đầu tiên mk gửi = mt á lên nó hơi mờ
0
1459
0
cảm ơn bạn ^^ bạn ơi, mình ko giỏi toán lắm, mình hỏi chỗ này đc ko.. sao mình tìm đc ẩn c vậy bạn??
47
1486
18
ẩn c ở ý c á
47
1486
18
https://www.facebook.com/profile.php?id=100067213972112 link fb của mk nè có j o hỉu thì kb call vs mk nhá
0
1459
0
cảm ơn bạn ^^