

Hãy luôn nhớ cảm ơn và vote 5*
nếu câu trả lời hữu ích nhé!
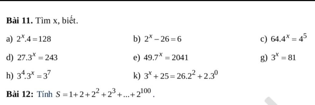
`11)`
`a)2^x. 4=128`
`2^x=128:4`
`2^x=32`
`2^x=2^5`
`=>x=5`
`b)2^x-26=6`
`2^x=6+26`
`2^x=32`
`2^x=2^5`
`=>x=5`
`c)64.4^x=4^5`
`4^x=4^5:64`
`4^x=4^5:4^3`
`4^x=4^2`
`=>x=2`
`d)27.3^x=243`
`3^3. 3^x=3^5`
`3^x=3^5:3^3`
`3^x=3^2`
`=>x=2`
`e)49.7^x=2401`
`7^2. 7^x=7^4`
`7^x=7^4:7^2`
`7^x=7^2`
`=>x=2`
`g)3^x=81`
`3^x=3^4`
`=>x=4`
`h)3^4. 3^x=3^7`
`3^x=3^7:3^4`
`3^x=3^3`
`=>x=3`
`k)3^x+25=26.2^2+2.3^0`
`3^x+25=26.4+2.1`
`3^x+25=104+2`
`3^x+25=106`
`3^x=106-25`
`3^x=81`
`3^x=3^4`
`=>x=4`
`12)`
`S=1+2+2^2+2^3+......................+2^100`
`2S=2+2^2+2^3+2^4+......................+2^101`
`2S-S=(2+2^2+2^3+2^4+......................+2^101)-(1+2+2^2+2^3+......................+2^100)`
`S=2^101-1`
$\huge\text{cho xin hay nhất đi mà}$
Hãy giúp mọi người biết câu trả lời này thế nào?

Đáp án:))
Bài 11 :
`a) 2^x . 4 = 128`
`2^x . 4= 128`
`2^x = 128 : 4`
`2^x = 32`
`<=>2^x = 2^5`
`=> x = 5`
`b) 2^x - 26 = 6`
`2^x = 6 + 26`
`2^x = 32`
`<=> 2^x = 2^5`
`=> x = 5`
`c) 64.4^x= 4^5`
`4^3 .4^x= 4^5`
`4^3+x = 4^5`
`=> 3 +x = 5`
`x = 5-3`
`x = 2`
`d)`
`27.3^x = 243`
`3^3.3^x = 3^5`
`3^3+x = 3^5
`=>3 + x = 5`
`x = 5-2`
`x = 3`
`e ) 49.7^x = 2041 `
`<=> 7^(x+2) = 2401 = 7^4`
`<=> x + 2 = 4`
`<=> x =2`
`g ) 3^x = 81`
`<=> 3^x = 3^4`
`=> x = 4`
`h) `
`3^4.3^x = 3^7`
`3^x = 3^7 : 3^4 `
`3^x = 3^3`
`=>x = 3`
`k ) 3^x + 25 = 26.2^2 + 2.3^0`
`3^x+25=26 . 2^2 + 2. 3^0`
`3^x+25=104 +2`
`3^x+25=106`
`3^x=106+25`
`3^x=81=3^4`
`=> x=4 `
Bài 12 :
Ta có :` S = 1+2+2^2+2^3+..+2^100`
`2S = 2+2^2+2^4 + ..+2^101`
`2.S-S = (2+2^2+2^4 + ..+2^101) - (1+2+2^2+2^3+..+2^100 )`
`S = 2^100 -1
Hãy giúp mọi người biết câu trả lời này thế nào?

Bảng tin
122
1210
154
hay quá
122
1210
154
bài làm ad kiu cấm ghi xin hay nhất xin hay nhất = ngược lại
122
1210
154
vậy mà vẫn ghi
2224
615
1743
lạ thês