

Hãy luôn nhớ cảm ơn và vote 5*
nếu câu trả lời hữu ích nhé!
Giải thích các bước giải:
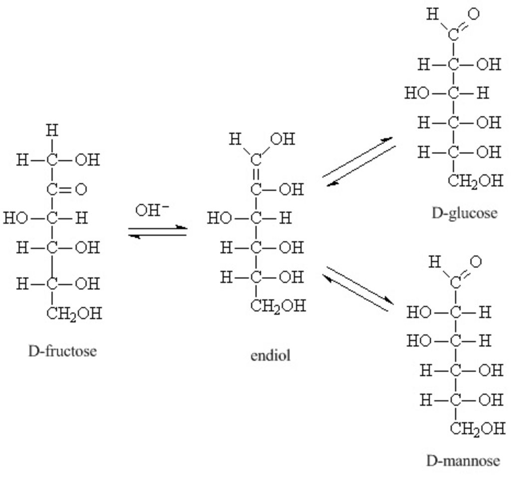
$Fructozơ$ là đồng phân của $Glucozơ$. Do $Fructozơ$ không có nhóm $-CH=O$ nên không xảy ra phản ứng tráng gương ở điều kiện nhiệt độ thường. Nhưng khi đun nóng $Fructozơ$ trong môi trường kiềm, $Fructozơ$ chuyển thành $Glucozơ$ theo cân bằng sau:
$Fructozơ(OH-)(to)⇔Glucozơ$
Vì vậy trong môi trường $OH-$ $Fructozơ$ có xảy ra phản ứng tráng gương.
Trả lời câu hỏi của bạn: Tại sao Fructose chuyển thành glucose trong môi trường oh?
Vì $Fructozơ$ là đồng phân của $Glucozơ$. Trong môi trường $OH-$ thì $Fructozơ$ chuyển hóa thành $Glucozơ$
Hãy giúp mọi người biết câu trả lời này thế nào?

Đáp án:
Trong môi trường kiềm, thông qua quá trình hỗ biến keto - enol mà glucose chuyển sang dạng enol, sau đó chuyển thành đồng phân của nó là fructose hoặc mannose.
Hãy giúp mọi người biết câu trả lời này thế nào?
Bảng tin