Đăng nhập để hỏi chi tiết


Hãy luôn nhớ cảm ơn và vote 5*
nếu câu trả lời hữu ích nhé!
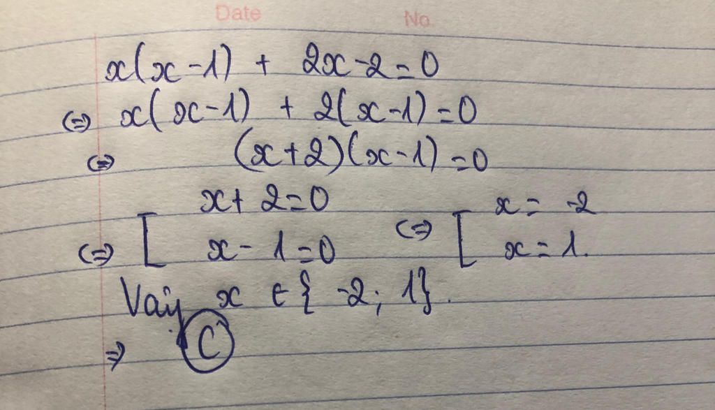
`x(x-1)+2x-2=0`
`<=>x(x-1)+2(x-1)=0`
`<=>(x-1)(x+2)=0`
`<=>`$\left[\begin{matrix} x-1=0\\ x+2=0\end{matrix}\right.$
`<=>`$\left[\begin{matrix} x=1\\ x=-2\end{matrix}\right.$
Vậy chọn `C`
Hãy giúp mọi người biết câu trả lời này thế nào?
Bảng tin