

Hãy luôn nhớ cảm ơn và vote 5*
nếu câu trả lời hữu ích nhé!
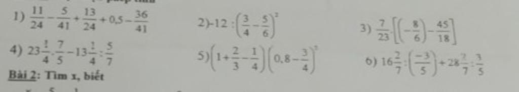
`a) 11/24 - 5/41 + 13/24 + 0,5 - 36/41`
`= 331/984 + 13/24 + (-31)/82`
`= 36/41 + (-31)/82`
`= 1/2`
`b) -12 : (3/4 - 5/6)^2`
`= -12 : 1/144`
`= -1728`
`c) 7/23 × [(-8/6) - 45/18 ]`
`= 7/23 × (-23)/6`
`= -7/6`
`d) 23 1/4 × 7/5 - 13 1/4 : 5/7`
`= 93/4 × 7/5 - 53/4 × 7/5`
`= 7/5 × ( 93/4 - 53/4 )`
`= 7/5 × 10`
`= 14`
`e) ( 1 + 2/3 - 1/4 )( 0,8 - 3/4 )^2`
`= 17/12 × (1/20)^2`
`= 17/12 × 1/400`
`= 17/4800`
`g) 16 2/7 : ((-3)/5) + 28 2/7 : 3/5`
`= (-114)/7 : 3/5 + 198/7 : 3/5`
`= ( (-114)/7 + 198/7 ) : 3/5`
`= 12 : 3/5`
`= 20`
@ Rin
Hãy giúp mọi người biết câu trả lời này thế nào?
Đáp án:
Giải thích các bước giải:
`a) 11/24 - 5/41 + 13/24 + 0,5 - 36/41`$\\$ `= 331/984 + 13/24 + (-31)/82= 36/41 + (-31)/82=1/2`$\\$ `b) -12 : (3/4 - 5/6)^2= -12 : 1/144= -1728`$\\$ `c) 7/23 . [(-8/6) - 45/18 ] = 7/23 . (-23)/6= -7/6`$\\$ `d) 23 1/4 . 7/5 - 13 1/4 : 5/7 = 93/4 . 7/5 - 53/4 . 7/5`$\\$ `= 7/5 . ( 93/4 - 53/4 ) = 7/5 . 10 = 14`$\\$ `e) ( 1 + 2/3 - 1/4 )( 0,8 - 3/4 )^2= 17/12 . (1/20)^2 = 17/4800`$\\$ `g) 16 2/7 : ((-3)/5) + 28 2/7 : 3/5= (-114)/7 : 3/5 + 198/7 : 3/5`$\\$ `= ( (-114)/7 + 198/7 ) : 3/5= 12 : 3/5 = 20`$\\$
Hãy giúp mọi người biết câu trả lời này thế nào?
Bảng tin
0
1155
0
hihi
0
1155
0
haha
0
1155
0
huhu