

Hãy luôn nhớ cảm ơn và vote 5*
nếu câu trả lời hữu ích nhé!
CO2: được tạo ra từ đơn chất cacbon và oxi.
SO2: được tạo ra từ đơn chất lưu huỳnh và oxi.
P2O5: được tạo ra từ đơn chất photpho và oxi.
Al2O3: được tạo ra từ đơn chất nhôm và oxi.
Fe3O4: được tạo ra từ đơn chất sắt và oxi
Hãy giúp mọi người biết câu trả lời này thế nào?
Đáp án:
Giải thích các bước giải:
a/
CO2: được tạo ra từ C và O.
SO2: được tạo ra từ S và O
P2O5: được tạo ra từ P và O
Al2O3: được tạo ra từ Al và O
Fe3O4: được tạo ra từ Fe và O
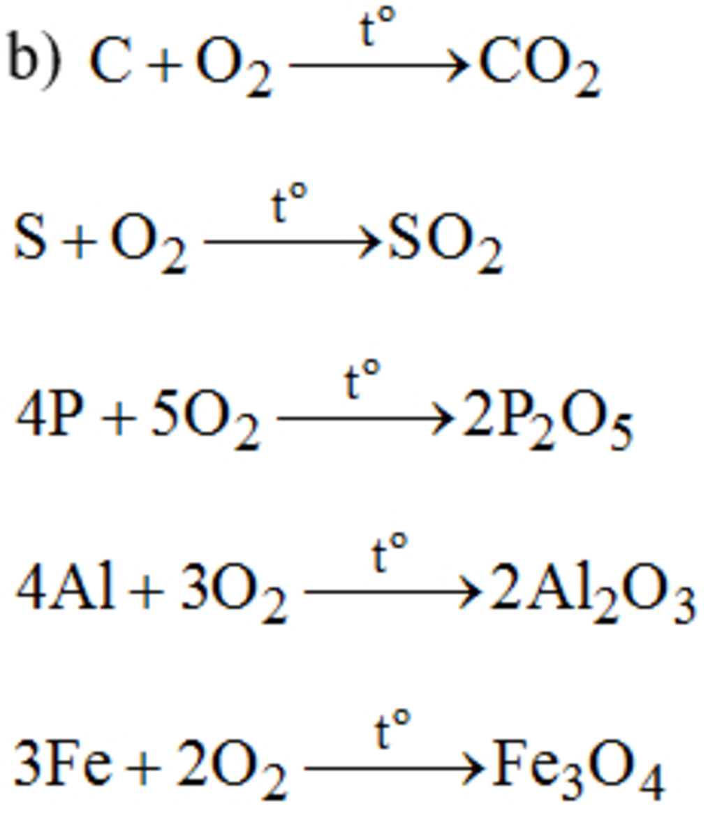
b/ PTHH:
C + O2 → CO2
S + O2 → SO2
4P + 5O2 →2P2O5
4Al + 3O2 → 2Al2O3
3Fe + 2O2 → Fe3O4
Tất cả có điều kiện tO
Hãy giúp mọi người biết câu trả lời này thế nào?
Bảng tin