

Hãy luôn nhớ cảm ơn và vote 5*
nếu câu trả lời hữu ích nhé!

Đáp án:
$a)A=4\\ b)B=0.$
Giải thích các bước giải:
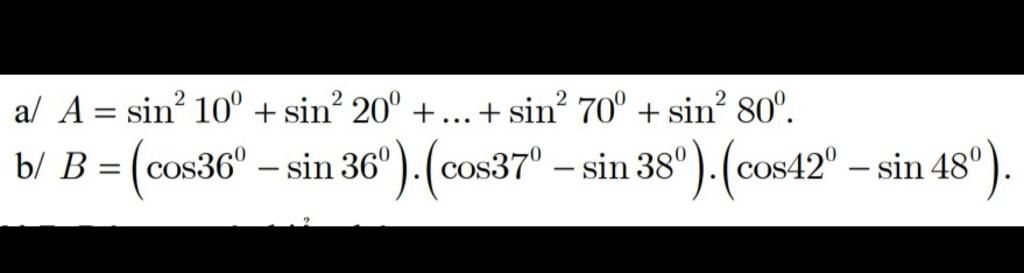
$a)A=\sin^210^\circ+\sin^220^\circ+\sin^230^\circ+\sin^240^\circ+\sin^250^\circ+\sin^260^\circ+\sin^270^\circ+\sin^280^\circ\\ =\sin^210^\circ+\sin^220^\circ+\sin^230^\circ+\sin^240^\circ+\cos^2(90^\circ-50^\circ)+\cos^2(90^\circ-60^\circ)+\cos^2(90^\circ-70^\circ)+\cos^2(90^\circ-80^\circ)\\ =\sin^210^\circ+\sin^220^\circ+\sin^230^\circ+\sin^240^\circ+\cos^240^\circ+\cos^230^\circ+\cos^220^\circ+\cos^10^\circ\\ =(\sin^210^\circ+\cos^210^\circ)+(\sin^220^\circ+\cos^220^\circ)+(\sin^230^\circ+\cos^230^\circ)+(\sin^240^\circ+\cos^240^\circ)\\ =1+1+1+1\\ =4\\ b)B=(\cos 36^\circ-\sin 36^\circ)(\cos 37^\circ-\sin 38^\circ)(\cos 42^\circ-\sin 48^\circ)\\ =(\cos 36^\circ-\sin 36^\circ)(\cos 37^\circ-\sin 38^\circ)(\cos 42^\circ-\cos(90^\circ- 48^\circ))\\ =(\cos 36^\circ-\sin 36^\circ)(\cos 37^\circ-\sin 38^\circ)(\cos 42^\circ-\cos 42^\circ)\\ =(\cos 36^\circ-\sin 36^\circ)(\cos 37^\circ-\sin 38^\circ).0\\ =0.$
Hãy giúp mọi người biết câu trả lời này thế nào?
Bảng tin
0
3326
0
bạn ơi dòng thứ 2 từ trên xuống sao lại ra 90độ- 48độ?
13639
103514
9168
Mình viết nhầm $ \sin$ với $\cos$😥.