

Hãy luôn nhớ cảm ơn và vote 5*
nếu câu trả lời hữu ích nhé!
~ gửi bạn ~
Đáp án:
`e) x = 14`
`f) x = 252`
`g) x = 3`
`k) x = 2`
`h) x = 5`
Giải thích các bước giải:
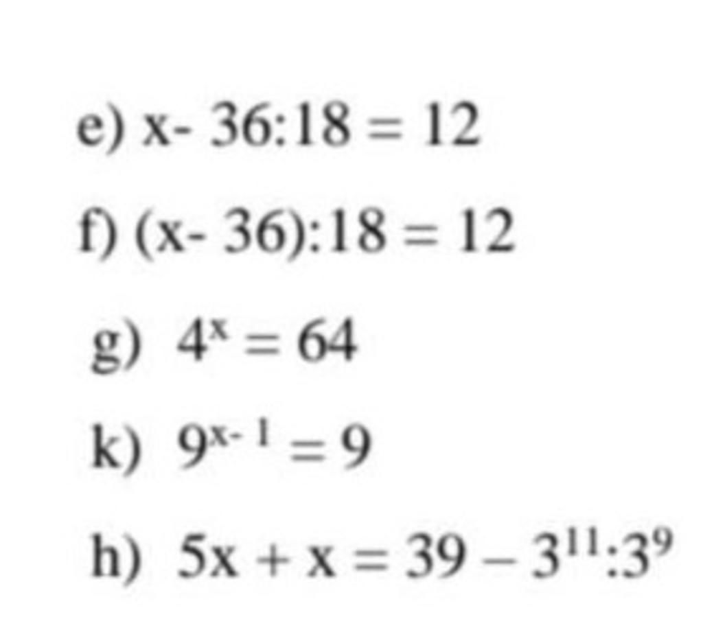
`e) x - 36 : 18 = 12`
`⇔ x - 2 = 12`
`⇔ x = 12 + 2`
`⇔ x = 14`
--------------------------------
`f) (x – 36) : 18 = 12`
`⇔ x – 36 = 12*18`
`⇔ x – 36 = 216`
`⇔ x = 216 + 36`
`⇔ x = 252`
--------------------------------
`g) 4^x = 64`
`⇔ 4^x = 4^3`
`⇔ x = 3`
--------------------------------
`k) 9^{x - 1} = 9`
`⇔ 9^{x - 1} = 9^1`
`⇔ x - 1 = 1`
`⇔ x = 2`
--------------------------------
`h) 5x + x = 39 - 3^{11} : 3^9`
`⇔ 6*x = 39 - 3^2`
`⇔ 6*x = 39 - 9`
`⇔ 6*x = 30`
`⇔ x = 30 : 6`
`⇔ x = 5`
Hãy giúp mọi người biết câu trả lời này thế nào?
Bảng tin