

Hãy luôn nhớ cảm ơn và vote 5*
nếu câu trả lời hữu ích nhé!
Đáp án:
Giải thích các bước giải:
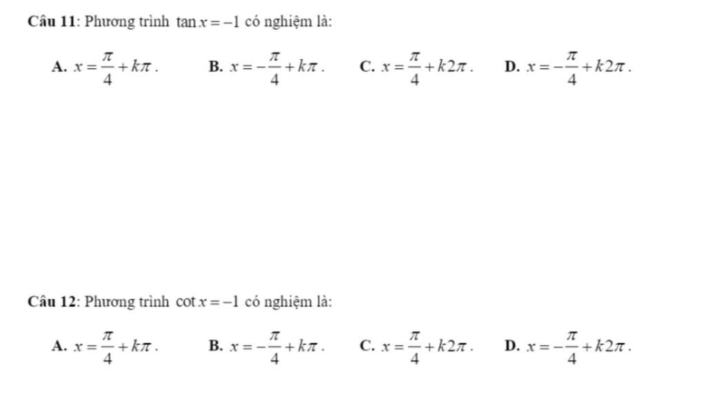
Câu 11:
`tan\ x=-1`
`⇔ tan\ x=tan\ (-\frac{\pi}{4})`
`⇔ x=-\frac{\pi}{4}+k\pi\ (k \in \mathbb{Z})`
Vậy `S={-\frac{\pi}{4}+k\pi\ (k \in \mathbb{Z})}`
Câu 12:
`cot\ x=-1`
`⇔ cot\ x=cot\ (-\frac{\pi}{4})`
`⇔ x=-\frac{\pi}{4}+k\pi\ (k \in \mathbb{Z})`
Vậy `S={-\frac{\pi}{4}+k\pi\ (k \in \mathbb{Z})}`
Hãy giúp mọi người biết câu trả lời này thế nào?
Đáp án: 1B 2B
Giải thích các bước giải:
Bấm máy tính shift tan -1
Câu 2 tương tự vì tan 1/-1 = -1
Hãy giúp mọi người biết câu trả lời này thế nào?
Bảng tin